韦布分布
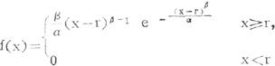
瑞典人韦布(W Weibull)提出。 设随机变量x的密度函数为  其中:β>0称形状参数,r称位置参数,α>0称尺度参数,则x服从韦布分布。它导源于计算链的失效概率或单个环被拉断的概率。 这种模型适用于由某一局部失效,便引起全部机能停止的现象,是可靠性分析中最常用的最复杂的一种分布。 由于它形式多样,易于得出适合各种故障形态的数学模型,在可靠性分析中应用广泛。 其中,当β接近 时,它近似正态分布;β=1,r=0时,为最有用的特殊情况之一,指数分布。 韦布分布的计算有矩法和最大似然法,但过于繁复。 实际中多用韦布纸以图解法实现。 当α=2,β=2,r=0时为  即在噪声理论和海浪理论中很有用的瑞利(Rayleigh)分布。 |