顺流溢浆式网槽的临界速度计算
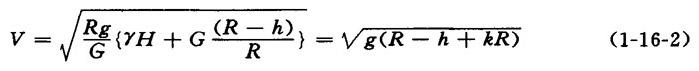
【说明】 对顺流溢浆式网槽,湿纸页受力情况如图1-16-1。 PH——湿纸页作用于网上的重力(N) Pc——湿纸页对圆网笼的附著力(N) 【公式】  式中 V——临界车速(m/s) g——重力加速度(9.81m/s2) R——圆网笼的半径(m) G——湿纸页的重力(N) γ——纸料的重度(N/m3) H——网内外水位差(m) h——圆网笼露出液面的高度(m) k——系数,k≈5.7 【讨论】 当网笼离开液面的瞬间时,H=0,(见图1-16-2),则:  式中符号含义及单位同式1-16-4 【注意】 从理论计算来看,圆网机的实际车速等于或小于临界车速,但由于计算中省略了纤维的交织情况与表面张力的影响,实际临界速度应大于上述计算的结果,而纸机的实际车速也应大于理论临界车速。 |