网站首页  词典首页


请输入您要查询的字词:

 

字词 预期寿命中位数
类别 中英文字词句释义及详细解析
释义 预期寿命中位数

活到X岁后的一批人,今后再减少一半所要经过的年数。

简称寿命中位数,或称中位寿命。

0岁组(即出生时)的预期寿命中位数具有特殊的意义。它表明同时出生的这一批人活到剩下一半人时的年龄。

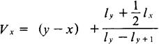
预期寿命中位数的计算公式是:

式中Vx是x岁的预期寿命中位数,y是生命表中略大于1x/2的尚存人数所对应的整数年龄,1y是略大于1x/2的尚存人数,1x+1是y+1岁对应的尚存人数。

预期寿命中位数不反映一批人减半以后各年龄的死亡水平,所以它不能完整地反映未来寿命的长短。

随便看

 

离鸟网收录3541549条中英文词条,其功能与新华字典、现代汉语词典、牛津高阶英汉词典等各类中英文词典类似,基本涵盖了全部常用中英文字词句的读音、释义及用法,是语言学习和写作的有利工具。

 

Copyright © 2004-2024 vtrois.com All Rights Reserved
更新时间:2026/4/7 12:22:49