预测绝对误差
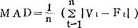
指预测值与实际值之差的绝对值。 可用下式表示:  式中 a——预测的绝对误差; V——实际值; F——预测值; t——预测时期; n——预测期数。 为了衡量预测的精确度,需要计算出预测误差。 时间序列预测时,人们通常采用平均绝对误差(MAD)和平均平方误差(MSE)作为评价预测精度的标准。 平均绝对误差就是各期绝对误差平方和的平均值。 用公式表示:  平均平方误差就是各期绝对误差平方和的平均值。用公式表示:  回归预测时,人们常采用标准偏差S作为评价预测精度的标准。  式中 r-自由度数。在只有一个变量的常数预测中,r=1;在有两个变量的线性预测中,r=n-2。 |