预测调和平均法
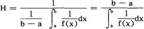
利用求调和平均数进行预测。 设X1,X2,…,Xn为给定的n个数,则调和平均数为  上述公式适用于数据未分群的情况。当给出分群的数据时,调和平均数则由下式求出:  式中,fi为Xi的频数,r为群数。若数据分群是分成落在不同区间内的若干组,则Xi为第i组的中值点。如果给定的数据中含有零或负值的数据,则求得的调和平均数常失去意义。 故调和平均法只有在给定的数据全部为正值时方可应用。 调和平均法应用机会比算术平均法应用机会少。 在应用之前,必须先考察拟求平均数的问题是否适宜以调和平均法求之。调和平均法应用于所给数据为一群或一系列数据的情况较多;如果给出的资料不是具体数据而是一种函数关系,调和平均数也能求出,只是求调和平均数的公式变为  式中,f(x)为给出的数值变化的函数,(a,b)为所求调和数的X的区间。 当X在区间(a,b)内取任何值时,f(x)必须大于零,否则上式不能用来求调和平均数。 |