网站首页  词典首页


请输入您要查询的字词:

 

字词 风机全风压的计算
类别 中英文字词句释义及详细解析
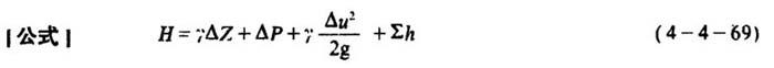
释义 风机全风压的计算

式中 H——工作环境下,风机应具有的全风压(Pa)

γ——工作环境下空气的重度(N/m3)

△Z——空气出、入口高度差(m)

△P——空气出、入口静风压差(Pa)

——空气出、入口动风压差(Pa)

u1.u——空气进、出口速度(m/s)

∑h——整个系统流体阻力损失(Pa),可由实际测得,或参照有关手册选取

随便看

 

离鸟网收录3541549条中英文词条,其功能与新华字典、现代汉语词典、牛津高阶英汉词典等各类中英文词典类似,基本涵盖了全部常用中英文字词句的读音、释义及用法,是语言学习和写作的有利工具。

 

Copyright © 2004-2024 vtrois.com All Rights Reserved
更新时间:2026/5/25 9:01:35