网站首页  词典首页


请输入您要查询的字词:

 

字词 风险调整法
类别 中英文字词句释义及详细解析
释义 风险调整法

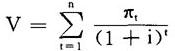
一次投资的价值(V)可以利用下面的估价模式加以确定:

这里,i是无风险的投资报酬率,πt指第t期获得的利润。

在制定包含有风险或不确定性因素的投资决策时,可以对上述估价模式进行适当的调整,具体有两种方法:

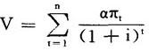
1.确实等值法(certainty equivalent approach):把估价模式分子中的每期利润πt,转换为按风险大小调整的确实等价利润,则估价模式变为:

式中的α叫确实等价调整因子。如果决策者选定α=0.8,则表明他认为实实在在的8美元,确实等价于含有一定风险的10美元。

一般来说,选择α<1,说明决策者属于风险厌恶型(非常普遍);α=1,属于风险中立型;α>1,属于风险偏好型。

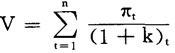
2.风险调整贴现率法(risk adjust discount value approach):这种方法调整估价模式分母中的投资报酬率i,因为承担风险应该加以奖励,这种奖励也要随著目标的不同而变化。于是,一定的投资价值V,现在就变成:

式中的k是按风险大小调整的贴现率,它等于无风险的报酬率i加上对承担风险的奖励rp,即:

k=i+rp

随便看

 

离鸟网收录3541549条中英文词条,其功能与新华字典、现代汉语词典、牛津高阶英汉词典等各类中英文词典类似,基本涵盖了全部常用中英文字词句的读音、释义及用法,是语言学习和写作的有利工具。

 

Copyright © 2004-2024 vtrois.com All Rights Reserved
更新时间:2026/4/5 15:13:43