网站首页  词典首页


请输入您要查询的字词:

 

字词 飞刀与底刀接触面积的计算
类别 中英文字词句释义及详细解析
释义 飞刀与底刀接触面积的计算

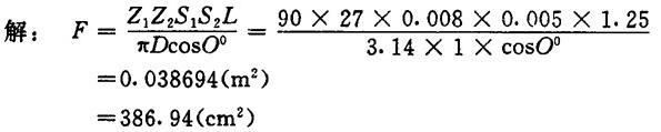
【公式】

式中 F——飞刀与底刀的接触面积(m2)

Z1、Z2——飞刀数和底刀数

S1、S2——飞刀厚度和底刀厚度(m)

L——飞刀长度(m)

D——飞刀辊直径(m)

αg—底刀排列方向与飞刀辊轴线的夹角(度),当α=0°时,F最小

【例2】 已知打浆机刀辊尺寸为Φ1000×1250mm,刀辊转速为180r/min,飞刀90把。刀片厚8mm,底刀27把,刀片厚5mm,α≈0°,求飞底刀接触面积。

随便看

 

离鸟网收录3541549条中英文词条,其功能与新华字典、现代汉语词典、牛津高阶英汉词典等各类中英文词典类似,基本涵盖了全部常用中英文字词句的读音、释义及用法,是语言学习和写作的有利工具。

 

Copyright © 2004-2024 vtrois.com All Rights Reserved
更新时间:2026/4/5 18:24:53