网站首页  词典首页


请输入您要查询的字词:

 

字词 食物网的结构与功能
类别 中英文字词句释义及详细解析
释义 食物网的结构与功能

生物群落中的一切生物都是通过取食关系(包括捕食和寄生)相互联系在一起,各生物物种彼此间形成的这种复杂的取食(营养)关系称为食物网。

在不同的自然生态系中.由于物种组成不同,食物网的结构也不相同。一定的食物网结构表现出一定的功能。研究食物网的结构与功能对有害生物治理及人类的健康具有重要意义。

食物网的概念最早由达尔文(Darwin,1859)描述。

他在物种起源中指出:植物和动物,以及微弱的自然等级制通过复合关系的网状形式紧密地联接在一起。1880年卡梅兰诺(Camerano)完整地描述了食物网。

卡梅兰诺描述的食物网树状图在功能上类似于今天生态学教科书中的食物网。1923年萨默海斯和埃尔顿(Summerhayes和Elton)报道了贝尔岛(Bera Island)的一个详细的食物网,接著1926年理查兹(Richards)研究了生活在松树上的动物食物网。

尔后,群落食物网研究的主要方面有物种丰富度;利用多元统计方法对物种进行排序;对抽样物种进行群落多样性和稳定性理论研究。这些基本上是食物网结构研究。有必要从功能上对食物网加以深入研究。

1982年萨吉哈拉(G.Sugihara)把具有相同捕食者和相同猎物的物种看作一个单位,即具有相同食物和捕食者的两类物种营养上是等价的。

1982年约德齐斯(P.Yodzis)提出把具有相似食物和捕食者的物种类群看作为一个营养物种。1989年布赖恩和科恩(F.Briand和J.E.Cohen)在萨吉哈拉物种营养等价概念基础上,进行了物种的归类,并开始用营养物种研究食物网。

一个营养物种可以就是一个生物物种,也可以是由若干种生物物种组成。

一种生物物种的不同阶段(如稻纵卷叶螟的幼虫和成虫)可以属于不同的营养物种。

营养物种的计数单位可用物种、生物量等。

食物网的结构可粗略地分为顶位、中位和基位物种。

与此相对应的有4种营养链索,即基位一中位物种链索、基位一顶位物种链索、中位一中位物种链索和中位一顶位物种链索。1989年科恩(J.E.Cohen)根据113个食物网的研究成果,归纳出5个定律或规律性:(1)若排除自相残杀,环是很少的;(2)食物链通常是不长的,40个2维环境(平原)食物网平均链长为2.6,28个3维环境(如林冠)食物网平均链长2.7;(3)顶位、中位、底位物种的比例不变,该比例不随物种数的增加而增加或减少;(4)不同种类的链索比例不变;(5)链索与物种数的比例不变,如以物种数为横座标,链索数为纵座标,113个食物网曲线的斜率近似2。

比例不变定律被更多的研究工作者所证实(A.Trombla,1989;G.Sugihara etal,1989;S.J.Hall and D.Raffaelli,1991)。

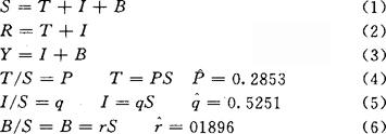
研究的栖境包括以无脊椎动物占优势的食物网、河口湾食物网等,假设S是群落食物网的总物种数,T.I和B分别是期望的顶位、中位、底位物种数;R和Y分别是期望的捕食者和猎物数,则:

把(5)-(6)两式相加除以(4)-(5)两式之和,则为:

Y/R=a Y=aR a=(q+r)/(q+p)

1989年科恩(J.E.Cohen)用图论的方法研究食物网物种间取食和被取食关系并导出一个食物网的营养链索总数。设Cn为一个非环食物网中的n链索数,n=1,2……S-1。链长的频率分布是向量(C1……,一个食物网的总链索数为:

还提出了用串联模型(Gascade model)研究食物网的结构。

根据串联模型,具有S物种的食物网的n-链的期望数为:

式中P为一条随机链索的概率。

除了食物的结构及模型研究外,对食物网中的物种组团和基石种的研究也非常活跃。例如1990年道比(B.M.Doube)对食粪甲虫功能团的研究;1991年福斯(J.E.Fauth)等对蝾螈Sirenintermedia与其基石种捕食者Notophthalmus viridescens间相互作用的研究。群落中基石种的功能对整个群落起著重要的作用,如果排除基石种,群落的结构和功能就会产生较大的变化。

但上述研究,尤其是食物网的3个比例不变定律基本上是依据海洋、河口湾等栖境资料得出的规律,几乎还没有农田生态系群落食物网的材料。在食物网的串联模型中仅考虑抽样物种数,而抽样物种数与抽样单位大小有关,以及该模型如何结合每一物种的数量还须深入研究。

农田生态系有害生物综合治理基本研究的突破点主要应放在食物网的结构与功能上。食物网的捕食者与猎物、链索一物种数比例不变定律可能对有害生物的生物控制理论和实践有著重要的指导作用,此外,食物网的组织化及其功能与环境保护、人类健康研究甚少,有待进一步深入探讨。

(江苏农学院吴进才撰)

随便看

 

离鸟网收录3541549条中英文词条,其功能与新华字典、现代汉语词典、牛津高阶英汉词典等各类中英文词典类似,基本涵盖了全部常用中英文字词句的读音、释义及用法,是语言学习和写作的有利工具。

 

Copyright © 2004-2024 vtrois.com All Rights Reserved
更新时间:2026/4/7 20:13:26