网站首页  词典首页


请输入您要查询的字词:

 

字词 马尔可夫链预测法
类别 中英文字词句释义及详细解析
释义 马尔可夫链预测法

指通过链式过程,从随机变量过去的变化,来推测这些变量未来变化的一种预测方法。

此法于1907年由俄国数学家马尔可夫发明,故得此名。模式为:

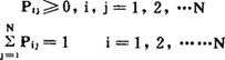
式中:P表示基期市场占有率;P表示转移概率;n表示相邻期数;N表示预测因素。

P具有以下性质:

由于市场上存在著卖方的竞争,用户会经常在各厂家间转移,各厂家原有市场占有率就会出现变化。

用马尔可夫链预测法可以预测到各厂家变化后的新市场占有率。

〔例〕有ABC三个厂家,1月份市场占有率分别为50%、40%、10%,预计2月份,顾客在各厂家间的转移情况如下表:

此表说明,对A厂而言,2月份有20%的顾客转向B厂,10%的顾客转向C厂,A厂至A厂的顾客转移概率,按照式,应为1-(20%+10%)=70%,余下各厂顾客转移分析类似。

此时,N=3,n=1,(1~2月份相邻一期)

则:(P1P2P3)=(0.5,0.4,0.1)

转移概率矩阵为:

2月份各厂市场占有率为:

即2月份,A厂的市场占有率为49%,B厂市场占有率为37%,C厂市场占有率为14%。

C厂由于原有的市场占有率很低,仅为10%,所以尽管它在2月份失去了50%顾客(20%+30%),但因为从市场占有率较高的AB两厂分别得到了10%的顾客,其市场占有率仍能从10%提高到14%。

当n=2,3…时,上述模型称为多阶马尔可夫链,利用矩阵原理进行链式的不断计算,仍能进行预测。

随便看

 

离鸟网收录3541549条中英文词条,其功能与新华字典、现代汉语词典、牛津高阶英汉词典等各类中英文词典类似,基本涵盖了全部常用中英文字词句的读音、释义及用法,是语言学习和写作的有利工具。

 

Copyright © 2004-2024 vtrois.com All Rights Reserved
更新时间:2026/4/7 4:16:24