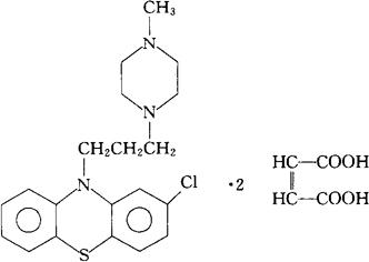
马来酸丙氯拉嗪
C20H24ClN3S·2C4H4O4=606.10 CAS-84-02-6 2-氯-10-[3-(4-甲基-1-哌嗪基)丙基]吩噻嗪马来酸盐(1∶2)。 2-Chloro-10-[3-(4-methyl-1-piperazinyl)propyl]phenothiazine mea[eate(1∶2). 止吐药及宁神药。用于神经官能症、呕吐等。 马来酸甲哌氯丙嗪,马来酸普氯苯噻 (台)。 Prochlorperazine Maleate,Compazine,Emefival,Prochlorperazine Dimaleate. 马来酸丙氯拉嗪片(马来酸普氯苯噻 锭)。 USAN,USP,MI. 
|