网站首页  词典首页


请输入您要查询的字词:

 

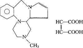
字词 马来酸吡咯扎平
类别 中英文字词句释义及详细解析
释义 马来酸吡咯扎平

C16H19N3·C4H4O4=369.42

CAS-71576-41-5

1,3,4,14b-四氢-2-甲基-2H,10H-吡嗪并[1,2-a]吡咯并[2,1-c][1,4]苯并二氮鎓马来酸盐(1∶1)。

1,3,4,14b-Tetrahydro-2-methyl-2H,10H-pyrazino[1,2-a]pyrrolo[2,1-c][1,4]benzodiazepine maleate(1∶1).

抗抑郁药。

马来酸阿普氮平。

Aptazapine Maleatle.

INN,USAN.

随便看

 

离鸟网收录3541549条中英文词条,其功能与新华字典、现代汉语词典、牛津高阶英汉词典等各类中英文词典类似,基本涵盖了全部常用中英文字词句的读音、释义及用法,是语言学习和写作的有利工具。

 

Copyright © 2004-2024 vtrois.com All Rights Reserved
更新时间:2026/4/7 6:50:11