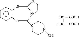
马来酸喷硫平
C15H17N5S·C4H4O4=415.47 CAS-81382-52-7 5-(4-甲基-1-哌嗪基)-咪唑并[2,1-b][1,3,5]苯并噻二氮杂 ,(Z)-2-丁烯二酸(1∶1)。 5-(4-Methyl-1-piperazinyl)imidazo[2,1-b][1,3,5]benzothiadiazepine,(Z)-2-butenedioate(1∶1). 5-(4-甲基-1-哌嗪基)咪唑并[2,1-b][1,3,5]苯并噻二氮杂 ,马来酸盐(1∶1)。 5-(4-Methyl-1-piperazinyl)imidazo[2,1-b][1,3,5]benzothiadiazepine maleate(1∶1). 抗精神病药,安定药。 潘选品马来酸盐。 Pentiapine Maleate,CGS 10746B. INN(Pentiapine),USAN. 
|