网站首页  词典首页


请输入您要查询的字词:

 

字词 马来酸曲莫前列素
类别 中英文字词句释义及详细解析
释义 马来酸曲莫前列素

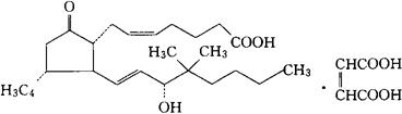
C23H38O4·C4H4O4=494.62

CAS-69900-72-7(trimoprostil)

(5Z,11α,13E,15R)-15-羟-11,16,16-三甲基-9-氧代-前列腺-5,13-二烯-1-酸马来酸盐。

(5Z,11a,13E,15R)-15-Hydroxy-11,16,16-trimethyl9-oxo-prosta-5,13-dien-1-oic acid maleate.

(Z)-7-[(1R,2R,3R)-2-[(E)-(3R)-3-羟-4,4-二甲基-1-辛烯基]-3-甲基-5-氧代环戊基]-5-庚烯酸(Z)-2-丁烯二酸盐(1∶1)。

(Z)-7-[(1R,2R,3R)-2-[(E)-(3R)-3-Hydroxy-4,4-dimethyl-1-octetnyl]-3-methyl-5-oxocyclopentyl]-5-heptenoic acid(Z)-2-butenedioate(1∶1).

前列腺素类药,抗胃分泌药。

Trimoprostil Maleas.

INN(Trimoprostil),USAN.

随便看

 

离鸟网收录3541549条中英文词条,其功能与新华字典、现代汉语词典、牛津高阶英汉词典等各类中英文词典类似,基本涵盖了全部常用中英文字词句的读音、释义及用法,是语言学习和写作的有利工具。

 

Copyright © 2004-2024 vtrois.com All Rights Reserved
更新时间:2026/4/8 1:14:06