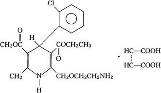
马来酸氨氯地平
C20H25ClN2O5·C4H4O4=524.96 CAS-88150-47-4 (±)-2-[(2-氨基乙氧基)甲氧基]-4-(邻-氯苯基)-1,4-二氢-6-甲基-3,5-吡啶二羧酸3-乙酯,5-甲酯马来酸盐(1∶1)。 3-Ethyl 5-methyl 0(±±)-2-[(2-aminoethoxy)methoxy]4-(o-chlorophenyl)-1,4-dihydro-6-methyl-3,5-pyridinedicarboxylate,maleate(1∶1). 抗高血压药。 马来酸安洛地平。 Amlodipine Maleate,UK-48,340-11. USAN.  |