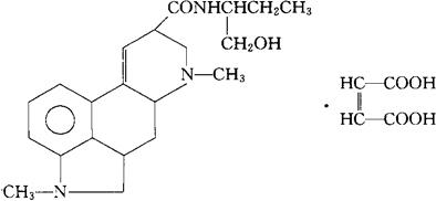
马来酸美西麦角
C21H27N3O2·C4H4O4=469.54 CAS-129-49-7 9,10-二去氢-N-[1-(羟甲基)丙基]-1,6-二甲基麦角灵-8β-羧酰胺马来酸盐(1∶1)。 9,10-Didehydro-N-[1-(hydroxymethyl)propyl]-1,6-dimethylergoline-8β-carboxamide maleate(1∶1)(salt). (+)-N-[1-(羟甲基)丙基]-1-甲基-D-麦角酰胺。 (+)-N-[1-(Hydroxymethyl)propyl]-1-methyl-Dlysergamide. 血管收缩药。 用于偏头痛及其他血管性头痛。 顺丁烯二酸二甲基麦角新碱,马来酸二甲麦角新碱。 Methysergide Maleate,Dimethylergometrine Maleate. USAN,USP,MI. 
|