马来酸达扎醇
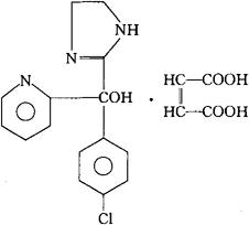
C15H14ClN3O·C4H4O4=403.82 CAS-25387-70-6 CAS-47029-84-5(dazadrol) α-(4-氯苯基)-α-(4,5-二氢-1H-咪唑-2-基)-2-吡啶甲醇(Z)-2-丁烯二酸(1∶1)(盐)。 2-Pyridinemethanol,α-(4-chlorophenyl)-α-(4,5-dihydro-1H-imidazol-2-yl)-,(Z)-2-butenedioate(1∶1)(salt). α-(对-氯苯基)-α-2-咪唑啉-2-基-2-吡啶甲醇马来酸(1∶1)(盐)。 α-(p-Chlorophenyl)-α-2-imidazolin-2-yl-2-pyridinemethanol-maleate(1∶1)(salt). 抗抑郁药。 Dazadrol Maleate,Sch 12650. INN(Dazadrol),USAN. 
|