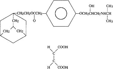
马来酸阿达洛尔
C26H39NO4·C4H4O4=545.67 CAS-121009-31-2 (±)4-[2-羟基-3-[(1-甲基乙基)氨基]丁丙氧基]-苯乙酸-2-三环[3,3,1,13.7]癸-1-基乙酯,(Z)-2-丁烯二酸盐(1∶1)。 4-[2-Hydroxy-3-[(1-methylethyl)amino]-propoxy]-benaenezcetic acid,2-tricyclo[3.3.1.13.7]dec-1-ylethyl ester.(Z)-2-butenedioate(1∶1)(salt). (±)-2-(1-金刚烷基)乙基[对-[2-羟基-3-(异丙氨基)丙氧基]苯基]醋酸酯,马来酸盐(1∶1)。 (±)-2-(1-Adamantyl)ethy[p-[2-hydroxy-3-(isopropylamino)propoxy]phenyl]acetate,maleate(1∶1)(salt). 抗高血压药。 Adaprolol Maleate,HGP-2,CDDD 2803. USAN.  |