网站首页  词典首页


请输入您要查询的字词:

 

字词 马来酸麦角新碱[典]
类别 中英文字词句释义及详细解析
释义 马来酸麦角新碱[典]

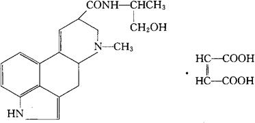
C19H23N3O2·C4H4O4=441.48

CAS-129-51-1

9,10-二脱氧-N-[(S)-2-羟基-1-甲乙基]-6-甲基麦角灵-8β-甲酰胺氢马来酸盐(1∶1)。

9,10-Didehydro-N-[(S)-2-hydroxy-1-methylethyl]-6-methyl-ergoline-8β-carboxamidehydrogen maleate(1∶1)(salt).

子宫收缩药。用于产后出血及子宫复原。

顺丁烯麦角新碱。

Ergometrine Maleate,Ergonovine Maleate,Ergofrate Malcate.

马来酸麦角新碱片,马来酸麦角新碱注射液。

INN & BP,(Ergomefrine)EP,IP,JP,USAN,USP,MI.

随便看

 

离鸟网收录3541549条中英文词条,其功能与新华字典、现代汉语词典、牛津高阶英汉词典等各类中英文词典类似,基本涵盖了全部常用中英文字词句的读音、释义及用法,是语言学习和写作的有利工具。

 

Copyright © 2004-2024 vtrois.com All Rights Reserved
更新时间:2026/4/8 22:31:10