网站首页  词典首页


请输入您要查询的字词:

 

字词 马歇尔-勒纳条件、罗宾逊-梅茨勒条件
类别 中英文字词句释义及详细解析
释义 马歇尔-勒纳条件、罗宾逊-梅茨勒条件

通过货币贬值而能改善贸易差额的约束条件。关于汇率变动与贸易收支均衡关系的一种研究。

英国经济学家A·马歇尔在1923年出版的《货币、信用与商业》一书中首先提出了需求和供给的价格弹性理论。他又把这一理论引伸到国际贸易领域,提出了进口需求弹性的概念。J·罗宾逊在马歇尔分析的基础上研究了汇率贬值对进出口的不同影响,得出了重要的结论。罗宾逊用公式表示的贬值对贸易收支的影响如下:

式中,I表示进口量;E表示出口量;P表示进口商品国内价格;q表示出口商品国内价格;h、f分别表示进口品的国内需求弹性和出口品的国外需求弹性;ηh、ηf分别表示出口品的国内供给弹性、进口品的国外供给弹性;K表示汇率(本币贬值)的变化率或贬值率。(1)式表明:如果括号内的数值为正,则贬值可以改善一国的贸易收支状况;反之,如果为负,则贬值会恶化一国的贸易收支状况。

美国经济学家A.P·勒纳在《控制经济学》一书中更加清楚和详尽的阐述了贬值对贸易收支影响的弹性临界值的问题。勒纳认为,一国采取降低汇率政策固然可以增加出口、抑制进口,但并不等于贸易逆差就能改善,因为贸易收支状况是与出口值,而不是与出口量相联系的。如果出口量的增长比率大于贬值率或商品出口价格下降的比率,即出口品的国外需求弹性大于1,出口值可以增加。如果出口品的国外需求弹性小于1,出口值反而会减少,从而扩大了贸易的收支逆差。只有通过减少进口才能改善贸易收支。即使如此,如果进口需求弹性不足,进口值的减少不足以补偿进口量的减少,国际收支问题仍未解决。只有进口值的减少大于出口值的减少,即进出口需求弹性之和大于1,贸易逆差才能消除;如果进出口需求弹性之和小于1,则贸易逆差加剧;如果两个需求弹性之和等于1,本国货币贬值,出口品价格下降,对贸易及逆差不产生任何影响,因为进、出口值的减少相互抵销了。勒纳认为,贸易收支逆差增减与否的临界点在于进、出口需求弹性之和为1。

根据勒纳的这一论述,J·罗宾逊于1947年出版的《就业理论论文集》第2版中将(1)式中的ηf和ηh设为无穷大,Eq=IP,于是(1)式变为:

KEq〔εf+εh-1〕 (2)

(2)式表明,ef+εh>1,即进、出口需求弹性之和大于1时,该公式为正值;ef+eh<1,即进、出口需求弹性之和小于1时,该式为负。因此,εf+eh>1就是改善贸易收支状况的充分且必要的条件。这就是著名的马歇尔一勒纳条件。

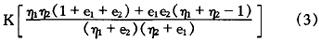
马歇尔-勒纳条件虽然是通过贬值改善贸易收支、稳定外汇市场的一个充分必要条件,但它是以进出口商品供给弹性无穷大、贸易条件不变(进出口价格变化率相等)为假定前提的,因而是它只适用于小于充分就业均衡的情况,而不适用于一般情况。为此,L.L·梅茨勒在《国际贸易理论》一文中放弃了供给弹性无穷大的假定,只假定贬值前进、出口的差额很小,进口值与出口值近似相等,即Eq≈IP,把它代入(1)式,即罗宾逊公式,从而得出:

e1、e2分别表示国内和国外各自对出口商品的供给弹性,η1、η2分别表示国内和国外各自对进口商品的需求弹性。(3)式表明,汇率贬值对贸易收支的影响与进出口商品的需求弹性和供给弹性有著密切的关系。如果(3)式中括号内的数值为正,贬值可以改善贸易的收支;如果括号内数值为负,则贬值后,贸易收支恶化;如果括号内的数值为零,则贬值后贸易收支状况不变。这一公式就称之为罗宾逊-梅茨勒条件。

随便看

 

离鸟网收录3541549条中英文词条,其功能与新华字典、现代汉语词典、牛津高阶英汉词典等各类中英文词典类似,基本涵盖了全部常用中英文字词句的读音、释义及用法,是语言学习和写作的有利工具。

 

Copyright © 2004-2024 vtrois.com All Rights Reserved
更新时间:2026/4/7 10:53:56