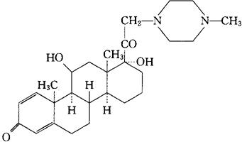
马泼尼酮
C26H38N2O4=442.60 CAS-13085-08-0 11β,17α-二羟-3,20-二氧代-21-(4-甲基-1-哌嗪基)孕甾-1,4-二烯。 11β,17α-Dihydroxy-3,20-dioxo-21-(4-methyl-1-piperazinyl)pregna-1,4-diene. 11β,17-二羟-21-(4-甲基-1-哌嗪基)孕甾-1,4-二烯-3,20-二酮。 11β,17-Dihydroxy-21-(4-methyl-1-piperazinyl)pregna-1,4-diene-3,20-dione. 消炎药。 Mazipredone. INN,USAN,MI. 
|