网站首页  词典首页


请输入您要查询的字词:

 

字词 验潮井
类别 中英文字词句释义及详细解析
释义 验潮井

为观测潮汐而专门在海滨设置的井状建筑物。

井筒一般为圆形,内.径0.7-1米.用钢筋混凝土浇灌或玻璃钢制成,也可使用铁管、钢管、硬质塑料管代替。井内与海水相通,具有良好的随潮性和消波性。验潮井一般分岛式和岸式两种建筑形式。岛式验潮井的井筒,用支架固定安置于海底或悬挂于水中。

井口高度要高出可能最高潮位的1.5-2米,井底的深度要低于最低潮位的1.5-2米。井筒开有进水孔,其高度约在可能最低潮位下1米处。

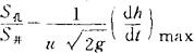
进水孔的大小取决于当地最大涨、落潮率和井筒的截面积。根据井内外潮位差不大于1厘米的要求,进水孔的设计可参照下式:

式中,S孔——进水孔截面积(平方厘米);

S井——井筒截面积(平方厘米);

g——重力加速度(厘米/秒2);

u——流量系数。

岸式验潮井的井筒建在岸上,通过输水管与海水相通。输水管内端口,应在井底上方约1米处,管口朝向开阔海域并向下倾斜约5%。

输水管直径与管长有一定的对应关系。不论何种验潮井,其上方都要建有仪器室,室内安装浮子式验潮仪,验潮仪浮子在验潮井内随潮水升降,记录简转动,以便记录潮位的变化。

随便看

 

离鸟网收录3541549条中英文词条,其功能与新华字典、现代汉语词典、牛津高阶英汉词典等各类中英文词典类似,基本涵盖了全部常用中英文字词句的读音、释义及用法,是语言学习和写作的有利工具。

 

Copyright © 2004-2024 vtrois.com All Rights Reserved
更新时间:2026/4/8 7:20:16