网站首页  词典首页


请输入您要查询的字词:

 

字词 高三尖杉酯碱[中]
类别 中英文字词句释义及详细解析
释义 高三尖杉酯碱[中]

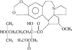
C29H39NO9=545.62

为三尖杉科(Cephalotaxaceae)三尖杉(Cephalotaxus fortunei Heok L)或其同属植物的根茎、树干、树皮中提得的具有抑制肝瘤作用的一种单体生物碱。

[3(R)]-4-甲基2-羟-2-(4-羟-4-甲基-4-甲基戊基)丁烷二酸酯粗榧碱。

[3(R)]-4-Methyl 2-hydroxy-2-(4-hydroxy-4-methylpentyl)butanedioate(ester)cephalotaxine.

抗肿瘤药。用于急性粒细胞性白血病、急性单核细胞性白血病及恶性淋巴瘤,也可用于真性红细胞增多症、慢性粒细胞白血病及早幼粒细胞白血病。

高哈林通碱,高三尖杉酯,高粗榧碱。

Homoharringtonine.

高三尖杉酯碱注射液。

随便看

 

离鸟网收录3541549条中英文词条,其功能与新华字典、现代汉语词典、牛津高阶英汉词典等各类中英文词典类似,基本涵盖了全部常用中英文字词句的读音、释义及用法,是语言学习和写作的有利工具。

 

Copyright © 2004-2024 vtrois.com All Rights Reserved
更新时间:2026/4/7 12:24:50