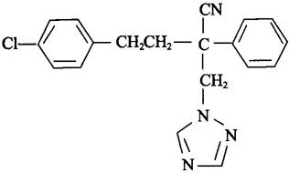
10.腈苯唑
中文通用名称:腈苯唑,英文通用名称:fenbuconazole,其他名称:苯氰唑、应得、唑菌腈、RH-7592、RH-57592、Indar,化学名称:4-(4-氯苯基)-2-苯基-2-(1H1,2,4-三唑-1-基甲基)丁腈,化学分子式:C19H17ClN4,相对分子量:336.8。 腈苯唑有两个光学异构体代谢产物,代号为RH-9129和RH-9130。 化学结构式:  理化性质:纯品为无色晶体,熔点124~126℃,蒸汽压0.005mPa。溶解性(25℃):水0.2mg/L,溶于醇、芳香烃、酯、酮等大多数有机溶剂中,不溶于脂肪族烃。Kow1700。300℃以下稳定,在黑暗中稳定。水解DT50>2210天(pH5)、3740(pH7)、1370(pH9)。 毒性:原药大鼠急性经口LD50>2g/kg,急性经皮LD50>5g/kg。大鼠急性吸入LC50(4h)>2.1mg/L空气。蓝鳃鱼LC50(96h)为0.68mg/L,蜜蜂LC50(96h)>0.29mg/蜂。 农药类别:低毒杂环类杀菌剂。 |