网站首页  词典首页


请输入您要查询的字词:

 

字词 高分子磁性材料
类别 中英文字词句释义及详细解析
释义 高分子磁性材料

作为磁性材料一个新的分支,自70年代以来在理论与应用的研究方面,都取得了长足的进步。

不少现化化的工业产品,正在愈来愈多地采用高分子磁性材料及元件,从而在相当大的程度上,改变了以往有关磁性材料的传统观念。特别是在当代电子、电气、通讯、信息等工业产品,朝著微型化、轻量化、高可靠性方向发展的情况下,高分子磁性材料以其优异的性能,而备受青睐。

大约在1000年前,人们就知道在自然界中存在著一种铁黑色的矿石,具有磁性。

古人用它作成指南针,用以辨别方面。正是由于指南针的发明及运用,才促进了航海与贸易事业的蓬勃发展。

磁来源于电子的轨道运动和电子的自旋运动。前者是电子绕原子核的量子轨道运动,这相当于一个闭合电路的电流,此运动对物质的磁性起著重要作用;而电子的自旋运动,对物质的磁性也有相当大的贡献。

1968年,又贺(K.Mataga)等人在深入地研究了顺磁性有机自由基(Magnetic Organic Free Radicals)的基础上,提出这类有机自由基可能形成P铁磁性物质的理论之后,高分子磁性材料的研究就日益开展起来了。

至今,已知约有500万种有机化合物,根据磁性可将它们分为两类:即抗磁性有机化合物与顺磁性有机化合物。

抗磁性有机化合物中的结构电子都配成了对,因此它们具有稳定的电子层结构。

这类有机化合物的磁化率,大致符合巴斯卡(Pascal)叠加原理,其函数式可表示为:

XM=∑nA·XA+∑λ

式中XM为摩尔分子磁化率;nA为具有原子磁化率XA的原子A的数目;λ为修正系数。

对于结构较简单的有机分子来说,其磁化率可与上式符合得较好;但对复杂有机分子的误差较大,尤其对芳香族化合物更为显著。

在顺磁性的有机化合物中,则存在著未成对电子,故显示出顺磁性。含有未成对电子的有机基团,称之为有机自由基。从本质上分析,有机自由基是不稳定的,但含有有机自由基的顺磁性有机高分子的聚合物是稳定的。

这是由于电在其分子结构中存在著空间障碍及共振结构效应的原因。顺磁性有机化合物的磁化率,决定于其所含有的不成对电子数,也就是说不成对电子的数目愈多,磁化率也愈高;反之亦然。

高分子顺磁性磁性材料,又可分为两类,即结构类和复合类。

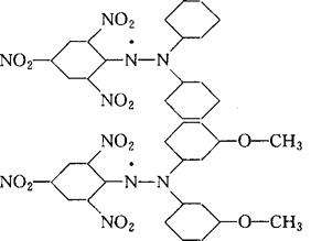
所谓结构类高分子顺磁性材料,系指在高分子共聚物中,引入了某些含有不成对电子的有机自由基,而构成的。具有代表性有自由基有:(1)本菲尔德-肯荣(Benfild-Kenyon)型有机自由基:

化学结构式中的·为未成对电子。

(2)DPPH型有机自由基,这类有机自由基的结构如下:

DPPH为1,1——双(对氧基苯)-2-三硝基苯偕肼。

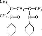
(3)PPH硫酸铁型有机自由基:PPH为聚双-2,6-吡啶基辛二腈。大多数有机自由基的顺磁性磁化率,是随著温度的变化而变化,如DPPH型有机自由基的顺磁性磁化率的极大值在21K。

复合类高分子顺磁性材料,是指在高分子共聚物中,添加某些无机磁性粉体,而形成的。

如铁氧粉体、铁磁性金属粉体、稀土金属及其化合物粉体,以及过渡金属间的化合物粉体等。它也有两种:一种是在非磁性的高分子聚合物中,加入某些无机磁性粉体而构成的;另一种则是在结构型的高分子聚合物中,加某些无机磁性粉体构成的。

非磁性高分子共聚物添加无机磁性粉体所形成的高分子顺磁材料有:橡胶——无机磁性物质塑料——无机磁性物质。

在结构型的高分子聚合物中加入无机磁粉而形成的高分子顺磁性材料,其组成中的高分聚合物与无机磁性粉体,均具磁性。

结构类高分子顺磁性材料的加工工艺如下:

复合型高分子顺磁性材料的加工工艺如下:

为了制备适应现代科学技术所需要的高分子磁性材料,科学家们正在积极开拓。根据已有的实践和理论,具有倾向性的看法是在两种有机化合物,或在有机化合物与无机物之间,如果存在著电子云的偏移,将会产生不成对电子,其产物就具有顺磁性;反之,将会产生抗磁性。

按此原理去寻找或合成高分子磁性材料,会有成功的希望。再者,如果在高分子聚合物中存在如下结构的有机自由基,将会出现较强的顺磁性。

。【参考文献】:

1 Ohigashi N,Inokuchi H.Paramagnetic Susceptibilities Of Some DPPH,Bull Chem Soc Japan,1969,42,1212~1216

2 近角聪信等编集.磁性体ゾソドぺシク.朝仓书店,1975,752~756

3 孙酣经主编.功能高子材料及应用.北京:化学工业出版社,1990.95~114

4 区英鸿主编.塑料手册.北京:兵器工业出版社,1991.854~863

5 王德义.高分子磁性材料,现代化工,1991,3∶51~52

(天津大学王德义撰)

随便看

 

离鸟网收录3541549条中英文词条,其功能与新华字典、现代汉语词典、牛津高阶英汉词典等各类中英文词典类似,基本涵盖了全部常用中英文字词句的读音、释义及用法,是语言学习和写作的有利工具。

 

Copyright © 2004-2024 vtrois.com All Rights Reserved
更新时间:2026/4/6 17:47:09