12.高效氯氟氰菊酯
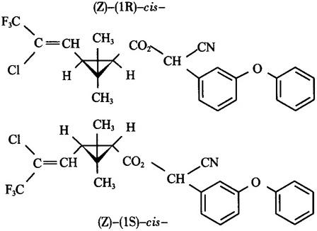
中文通用名称:高效氯氟氰菊酯,英文通用名称:lambda-cyhalothrin,其他名称:三氟氯氰菊酯、功夫、功夫菊酯、Kung Fu,化学名称:(RS)-α-氰基-3-苯氧基苄基(Z)-(1RS,3RS)-(2-氯-3,3,3-三氟丙烯基)-2,2-二甲基环丙烷羧酸酯,化学分子式:C23H19ClF3NO3,相对分子量:449.9。 理化性质:纯品为白色或白色粉末固体。原药为米黄色无臭固体。熔点49.2℃,沸点187~190℃/0.02mmHg,20℃时的蒸汽压0.01mPa。密度为1.25g/cm3(25℃),不溶于水,溶于大多数有机溶剂。在15~25℃条件下,可稳定贮存6个月。光下稳定,275℃分解。 化学结构式:  毒性:原药大鼠急性经口LD50为79mg/kg(雄),56mg/kg(雌);小鼠急性经口LD50为36.7mg/kg(雄),62.3mg/kg(雌);大鼠急性经皮LD50为632mg/kg(雄),696mg/kg(雌)。对鱼类、水生生物以及蜜蜂和蚕剧毒,虹鳟鱼LC50为0.25~0.54μg/L(96h),水蚤LC50为0.38μg/L(48h)。对鸟类低毒。 农药类别:中等毒性拟除虫菊酯杀虫剂。 |