网站首页  词典首页


请输入您要查询的字词:

 

字词 高斯消元法
类别 中英文字词句释义及详细解析
释义 高斯消元法

求解线性代数方程组

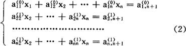
的高斯消元法分为消元过程和回代过程。

消元过程由n-1步组成第一步,设a11≠0,利用(1)中第一个方程将其余方程中的x1消去,得等价的方程组

其中

i=2,3,…n,j=2,3,…n+1

第二步,若,再将(2)中的第2到第n个方程中的X2消去。

一般地,在第k步上,设

i=k+1,…n j=k+1,…n+1

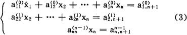
经n-1步消元后,方程组就化成等价的。

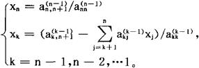
回代过程就是解方程组(3),得出组(1)的解为:

,则在进行第k步消元时,可先确定r使,然后将第r个方程与第k个方程对换,再进行消元。

随便看

 

离鸟网收录3541549条中英文词条,其功能与新华字典、现代汉语词典、牛津高阶英汉词典等各类中英文词典类似,基本涵盖了全部常用中英文字词句的读音、释义及用法,是语言学习和写作的有利工具。

 

Copyright © 2004-2024 vtrois.com All Rights Reserved
更新时间:2026/4/8 5:48:14