网站首页  词典首页


请输入您要查询的字词:

 

字词 高氟奋乃静
类别 中英文字词句释义及详细解析
释义 高氟奋乃静

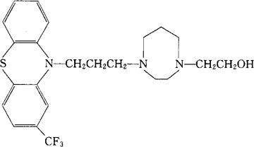
C23H28F3N3OS=451.55

CAS-3833-99-6

10-[3-[4-(2-羟乙基)-六氢-1H-1,4-二氮]丙基]-2-(三氟甲基)吩噻嗪。

10-[3-[4(2-Hydroxyethyl)-hexahydro-1H-1,4-diazepine]propyl]-2-(trifluoromethyl)phenothiazine,

抗组胺药,安定药。

羟氮环庚氟丙嗪。

Homofenazine,D775.

INN,DCIT,NFN,USAN,MI.

随便看

 

离鸟网收录3541549条中英文词条,其功能与新华字典、现代汉语词典、牛津高阶英汉词典等各类中英文词典类似,基本涵盖了全部常用中英文字词句的读音、释义及用法,是语言学习和写作的有利工具。

 

Copyright © 2004-2024 vtrois.com All Rights Reserved
更新时间:2026/4/7 8:49:47