网站首页  词典首页


请输入您要查询的字词:

 

字词 18.异菌脲
类别 中英文字词句释义及详细解析
释义 18.异菌脲

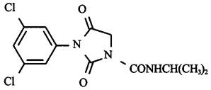
中文通用名称:异菌脲,英文通用名称:iprodione,其他名称:扑海因、Rovral,化学名称:3-(3,5-二氯苯基)-N-异丙基-2,4-二氧代咪唑啉-1-羧酰胺,化学分子式:C13H13C12N3O3,相对分子量:330.2。

化学结构式:

理化性质:纯品为白色无味,非吸湿性晶体或粉末,熔点136℃原药128~128.5℃),20℃蒸汽压低于0.133mPa,相对密度1.00(20℃)(原药1.434~1.435),溶解性(20℃):水13mg/L,正辛醇10mg/L、甲醇mg/L、乙醇25mg/L、乙腈mg/L、甲苯150mg/L、苯20mg/L、乙酸乙酯225mg/L,丙酮、苯乙酮和苯甲醚中为300g/L,二氯甲烷450、氯甲烷500、己烷590(g/L,20℃),酸性介质中稳定,碱性介质中水解,其水溶液在紫外光下分解。在一般条件下贮存是稳定的。无腐蚀性。

毒性:原药大鼠急性经口LD50为3500mg/kg,兔急性经皮LD50>1000mg/kg,大、小鼠急性吸入LC50>13mg/L。虹鳟鱼96hLC50为6.7mg/L,蓝鳃鱼96hLC50为2.25~6.30mg/L。蜜蜂经口LD50>400μg/头。鹌鹑LD50>930mg/kg。

农药类别:低毒杂环类杀菌剂。

随便看

 

离鸟网收录3541549条中英文词条,其功能与新华字典、现代汉语词典、牛津高阶英汉词典等各类中英文词典类似,基本涵盖了全部常用中英文字词句的读音、释义及用法,是语言学习和写作的有利工具。

 

Copyright © 2004-2024 vtrois.com All Rights Reserved
更新时间:2026/4/8 3:56:14