网站首页  词典首页


请输入您要查询的字词:

 

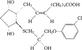
字词 鲁前列醇
类别 中英文字词句释义及详细解析
释义 鲁前列醇

C21H29ClO6S=444.97

CAS-67110-79-6

(4-)-(Z)-7-[(1R*,2S*,3S*,5R*)-2-[[(2R*)-3-(间-氯苯氧)-2-羟丙基]硫代]-3,5-二羟环戊基]-5-庚烯酸。

(±)-(Z)-7-[(1R*,2S*,3S*,5R*)-2-[[(2R*)-3-(m-Chlorophenoxy)-2-hydroxypropyl]thio]-3,5-dihydroxycyclopentyl]-5-heptenoic acid.

9,11,15-三羟-16-间-氯苯氧-13-噻-17,18,19,20-四去甲-5-前列腺烯酸。

9,11,15-Trihydroxy-16-m-chlorophenoxy-13-thia17,18,19,20-tetranor-5-prostenoic acid.

子宫收缩药。

Luprostiol,Prostianol,Reprodin,Prosolvin,Ronilin,

EMD 24946.

INN,BAN,USAN.

随便看

 

离鸟网收录3541549条中英文词条,其功能与新华字典、现代汉语词典、牛津高阶英汉词典等各类中英文词典类似,基本涵盖了全部常用中英文字词句的读音、释义及用法,是语言学习和写作的有利工具。

 

Copyright © 2004-2024 vtrois.com All Rights Reserved
更新时间:2026/4/8 2:37:09