网站首页  词典首页


请输入您要查询的字词:

 

字词 鲁非罗尼
类别 中英文字词句释义及详细解析
释义 鲁非罗尼

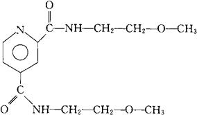
C13H19N304=281.31

CAS-128075-79-6

N,N′-双-(2-甲氧乙基)-2,4-吡啶二甲酰胺。

N,N′-bis-(2-Methoxyethyl)-2,4-pyridinedicarboxamide.

胶原抑制药。

Luflronil.

INN,USAN.

随便看

 

离鸟网收录3541549条中英文词条,其功能与新华字典、现代汉语词典、牛津高阶英汉词典等各类中英文词典类似,基本涵盖了全部常用中英文字词句的读音、释义及用法,是语言学习和写作的有利工具。

 

Copyright © 2004-2024 vtrois.com All Rights Reserved
更新时间:2026/4/9 7:14:05