网站首页  词典首页


请输入您要查询的字词:

 

字词 鲍克斯—詹金斯模型
类别 中英文字词句释义及详细解析
释义 鲍克斯—詹金斯模型

鲍克斯和詹金斯(BoxJenkins)提出的一种预测模型。

它根据时间序列资料,从所谓鲍克斯-詹金斯模型族中寻求和建立一个最佳时间序列关系的预测模型。

鲍克斯-詹金斯模型有以下几个重要概念

(1)平稳性序列和自相关函数。

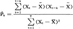
平稳性是指时间序列资料不随时间的推移而发生大的波动;自相关函数是研究时间序列X1,X2,…,Xt 间相邻项相关程度的函数。

Xt与Xt+k的自相关函数写成:

式中,

自相关函数是检验时间序列平稳性的重要手段。当K值增大时,如果迅速下降,则说明时间序列平稳,否则是不平稳的。

(2)差分。一阶差分定义如下:

△Xt=Xt-Xt-1

二阶差分的定义如下:

2Xt=△(△Xt)=△Xt-△Xt-1

高阶差分依次类推。

(3)齐次非平稳性序列。这一序列是指经过一次或有限次差分后,可以把不平稳序列变成平稳序列。

(4)鲍克斯-詹金斯模型分两个基本平稳模型:

自回归模型BJ(P,0),数学形式为:

Xt1Xt-12Xt-2+…+φpXt-pt

式中,φi为方程的参数;Xt为实际观察值;εt为随机误差项。

滑动平均模型BJ(0,q),数学形式为:

Xtt1εt-1+…+θqεt-p

式中,μ为Xt的平均值,θi为参数,εt为随机误差项。

由BJ(P,0)和BJ(0,q)出发,可以构成混合回归与滑动平均模型BJ(P,q),以及处理齐次非平衡时间序列的结合自回归与滑动平均模型BJ(p,d,q)。

BJ(p,q)的基本形式如下:

Xt1Xt-1+…+φpXt-pt1εt-1+…+θqεt-q+μ

BJ(p,d,q)与BJ(p,q)的形式相同,只是将Xi换为△dXi,d为差分的阶数。

应用鲍克斯-詹金斯预测法的基本步骤是:

(1)识别 首先通过Pk检验时间序列X1,…,Xt是否平稳,若不平稳则选取适当的d,使差分时间序列平稳。

求出平稳时间序列后或差分后平稳时间序列的最佳p、q值,完成模型的识别。

(2)估计 用最小平方法或其他方法估计模型的系数,并进行统计检验。若检验通不过,则重新识别模型或另外定式估计,反复数次,直至满意为止。

(3)预测 选定模型后,代入前定变量,对未来进行预测。

随便看

 

离鸟网收录3541549条中英文词条,其功能与新华字典、现代汉语词典、牛津高阶英汉词典等各类中英文词典类似,基本涵盖了全部常用中英文字词句的读音、释义及用法,是语言学习和写作的有利工具。

 

Copyright © 2004-2024 vtrois.com All Rights Reserved
更新时间:2026/4/7 13:28:24