网站首页  词典首页


请输入您要查询的字词:

 

字词 鸡屎藤
类别 中英文字词句释义及详细解析
释义 鸡屎藤

【概况】:

异名 女青(《本经》),皆治藤(《纲目拾遗》),牛皮冻(《植物名实图考》),毛葫芦(《岭南采药录》),臭藤(《天宝本草》)。

基源 为茜草科鸡屎藤属植物鸡屎藤的干燥全株。鸡屎藤属全世界有50多种;中国有10多种,其中药用的有3种。

原植物 鸡屎藤Paederia scandens(Lour.)Merr.,又名鸡矢藤(《中国药典》)。

历史 本品以“女青”之名始载于《本经》,其描述为“女青,味辛平,主蛊毒,逐邪恶气,杀鬼温疟,辟不祥,一名雀瓢……名医曰,蛇衔根也,生朱崖,八月采,阴干……。

”《纲目》描述“女青,本经下品,释名雀瓢,……生朱崖,八月采,阴干……叶似萝摩,两叶相对……茎叶并臭……实黑……。”《纲目拾遗》以“皆治藤”之名描述本品曰“蔓延墙壁间,长丈余,叶似泥藤,中暑者,以根叶作粉食之,虚损者,杂猪胃煮服。”《植物名实图考》以“臭皮藤”、“牛皮冻”之名描述本品,谓“臭皮藤”曰“牛皮冻,湖南园圃林薄极多。蔓生绿茎,长叶如腊梅花叶,浓绿光亮。

叶间秋开白筩子花,小瓣五出,微卷向外,黄紫色。结青实有汁……”,书中又描述了一种称“鸡矢藤”的草药,从描述看似与本品相近,但附图的叶互生,并非本品。又据1932年,肖步丹撰《岭南采药录》中载“皆治藤”别名“鸡屎藤、毛葫芦”,并作了药用与形态等描述。从以上各家对本品的详细描述来看,实为现代被普遍利用的“鸡屎藤”。

形态 藤本,茎长3~5m,无毛或近无毛。叶对生,近革质,形状变化大,卵形、卵状长圆形至披针形,长5~15cm,宽1~6cm,顶端急尖或渐尖,基部圆、截平或楔形,有时浅心形,两面无毛或近无毛,有时背面脉腋内有束毛;侧脉4~6对,纤细;叶柄长1.5~7cm;托叶长3~5mm,无毛。圆锥花序式的聚伞花序腋生和顶生,扩展,分枝对生,末次分枝上著生的花常呈蝎尾状排列;小苞片披针形,长约2mm,无毛;花浅紫色,无花梗或具短花梗;萼管陀螺形,长约1~1.2mm,萼檐5裂,裂片三角形,长0.8~1mm;花冠管长7~10mm,外面被粉状柔毛,内面被绒毛,花冠裂片5,长1~2mm,顶端急尖而直;花丝长短不等,花药背著。果球形,成熟时杆黄色,有光泽,平滑,直径5~7mm,顶冠以宿存的等檐和花盘;小坚果无翅,浅黑色。

花期5~8月,果期9~10月。(图见《中药志》.第4卷.第2版.428页.图425.照片112)

生境与分布 生于低海拔至中海拔的山谷溪边、村边、旷野、山坡灌丛中,常缠绕于灌木上。分布于长江流域及其以南各地。日本、印度、中南半岛至印度尼西亚也有分布。。

【生药】:

栽培 宜在温暖湿润气候上层深厚、上质疏松肥沃而湿润的砂质壤土种植。

用种子繁殖,于3~4月播种,按行株距各33cm开浅穴点播,每穴播种子10粒左右,播后覆薄上,保持上壤湿润。或行扦插繁殖,取二年生茎藤,剪成20~30cm长,有3节以上的播条,直接扦插于大田。

种子发芽出苗后,结合松土除草,分次间苗,每穴留苗2~3株,生长中迫施人畜粪水1~2次。茎藤长30cm以上时,应插设支柱,以供攀援生长。

9~10月收割后,结合中耕除草施堆肥,越冬。虫害蚜虫,用乐果防治。

采集 夏季采收全草,洗净,晒干。药材产于长江流域及以南各地区。

鉴别

性状 茎扁圆柱形,,直径2~5mm;老茎灰白色,有纵皱纹或横裂纹,嫩茎黑褐色,被柔毛;质韧,不易折断,折断面纤维性,灰白色或浅绿色。叶对生,有柄,多卷缩或破碎,完整叶片展平呈卵形或椭圆状披针形,长5~10cm,宽3~6cm,先端尖,基部圆形,全缘,两面被柔毛或仅下表面被毛,主脉明显。气特异,味甘、涩。以叶多、气浓者为佳。

显徽 嫩茎横切面:表皮细胞1列,外壁稍增厚,有角质层。皮层菲薄,由4~7列细胞组成,外侧1~3列为厚角细胞;内皮层明显。

中柱鞘纤维2~3列成环。

维管束外韧型。

形成层不明显。韧皮部有油细胞,长圆形,长约60μm,直径约38μm;有的细胞含草酸钙针晶束。木质部导管常数个至十数个相聚成12~14个导管群,导管周围木纤维众多,木薄壁细胞稀少。髓部大,长圆形。(图见《中药志》.第4册.第2版.429页.图426)老茎(直径约10mm)横切面:横切面圆形;中柱鞘纤维稀少,常单个稀疏散在;韧皮部较发达,木质部呈圆环形,髓部扁圆形,略偏心性。叶表面观:表皮细胞多角形,垂周壁较平直,平周壁有明显角质层纹理。

上下表皮有气孔,平轴式,副卫细胞2个,较狭长,宽8~15~53μm,长43~62μm。海绵组织布有含晶细胞,内含草酸钙针晶束,长达150μm。

叶脉部常有非腺毛,长50~500μm,由3~15个细胞组成,壁具角质纹理。(图见《中药志》.第4册.第2版.430页.图428)

理化 取样品粉末2g,加乙醇20ml,回流1小时,滤过,滤液蒸干,加水2ml,再滤过,滤液用正丁醇10ml萃取,分取正丁醇层,蒸去正丁醇,加甲醇1ml溶解,点于硅胶G板上,以氯仿-甲醇-甲酸(85∶1.5∶0.5)为展开剂,展距15cm,喷茴香醛-浓硫酸-冰乙酸(0.5∶1∶50)试液,加热显色。(图见《中药志》.第4册.第2版.431页.图429)

贮藏 置通风干燥处,防霉。

【化学】:

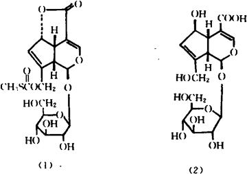
含鸡屎藤甙(Paederoside)(1)、鸡屎藤次甙(Scandoside(2)、车叶草甙(Asperuloside)[1~3],γ-谷甾醇[4]

叶含熊果酚甙(Arbutin)0.86%[5],挥发油[6]

附 果实含熊果甙约0.69%,及齐墩果酸、三十六烷、氢醌[5]

参考文献 [1] CA 1970;72∶13017x [2] 医学中央杂志(日) 1970;259∶87 [3] CA 1970;73∶127827n [4] CA 1964;60∶16208f [5] 药学杂志(日) 1964;84∶479 [6] 农村中草药制剂技术.人民卫生出版社,1971∶242。

【药理】:

鸡矢藤鲜品经三次蒸馏所得馏液(1∶100)对小鼠有明显镇痛作用(0.1,0.2,0.3ml/10g,ip.)(电刺激法),并有较强的抗戊四唑惊厥作用(0.1,0.2ml/10g,ip.)[1]。印度产鸡矢藤(P.foetida)提取物在体外试验有可的松样作用,而注入关节腔可降低炎性病变[2]

参考文献 [1] 中草药 1983;14(7)∶21 [2] Indian J Med Res 1969;57(6)∶1905

【药性】:

性味 甘、酸,平。

❶ 《岭南采药录》:“辛、苦,平。”
❷ 《上海常用中草药》:“甘、酸,平。”

功效 祛风活血,止痛解毒,消食导滞,除湿消肿。

主治 风湿疼痛,腹泻痢疾,脘腹疼痛,气虚浮肿,头昏食少,肝脾肿大,瘰疬,肠痈,无名肿毒,跌打损伤。

❶ 汪连仕《采药书》:“治风痛肠痈,跌打损伤,流注风火毒,散郁气。洗疝,合紫苏煎汤。”
❷ 《李氏草秘》:“煎洗腿足诸风,寒湿痛,拘挛不能转舒。”
❸ 《生草药性备要》:“其头治新内伤,煲肉食,补虚益肾,除火补血;洗疮止痛,消热散毒。其叶擂米加糖食,止痢。”
❹ 《纲目拾遗》:“中暑者以根、叶作粉食之。虚损者杂猪胃煎服。”“治瘰疠用根煎酒,未破者消,已溃者敛。”
❺ 《本草求原》:“理脚湿肿烂,蛇伤,同米擂食并敷。”
❻ 《植物名实图考》:“为洗药,解毒,去风,清热,散寒。”“敷无名肿毒,并补筋骨。”
❼ 《草木便方》:“补虚劳,调理脾胃元气,治病后虚肿、耳鸣。”
❽ 《四川中药志》:“治失眠、久咳。”
❾ 《重庆草药》:“健脾除湿,益气补虚。常用于小儿瘦弱,脾弱气虚,食积疳积,及成人气虚浮肿,膨胀,耳鸣,腹泻,遗尿,妇女虚弱白带,干病。并虚弱劳伤,虚痢,痒子瘰疬之由于气虚不愈者。


❿ 《上海常用中草药》:“祛风,活血,止痛,消肿。治风湿酸痛,跌打损伤,肝脾肿大,无名肿毒。

用法用量 内服:煎汤,9~15g(大剂量30~60g);或浸酒。外用:捣敷或煎水洗。

。【临床应用】:

配伍应用 ❶ 配鱼腥草、桔梗、牛蒡子,治咳嗽痰多。

❷ 配百部、枇杷叶,治慢性支气管炎。
❸ 配栀子、茵陈、黄芩,治黄疸型肝炎。

❹ 配麦芽、莱菔子,治食积腹胀。
❺ 配厚朴、红花、白术,治胃脘痛。

❻ 配茯苓、砂仁、藿香,治湿伤脾胃。
❼ 配皂角刺,治腮腺炎。

❽ 配藿香、佩兰,治中暑及夏月伤食。
❾ 配二花、紫花地丁,治咽喉肿痛。

❿ 配小飞扬,治疖肿及蜂窝组织炎。

⑾配秦皮、白头翁,治痢疾。

方选和验方 ❶ 《中国民间实用医方》:“治食积腹胀满:鸡屎藤30g,莱菔子10g,山楂10g,麦芽15g,神曲10g,青皮10g。水煎分3次温服。


❷ 《中国民间实用医方》:“治伤食胃脘及脐腹作痛:鸡屎藤30g,白术10g,神曲10g,山楂10g,陈皮10g,鱼腥草10g。水煎分3次温服。”
❸ 《中国民间实用医方》:“治湿伤脾胃,口淡而腻:鸡屎藤15g,白术10g,茯苓15g,藿香10g,砂仁6g。水煎服,1日1剂。


❹ 中西医结合杂志 1984;(3):“治慢性胃炎及胃、十二指肠溃疡所致胃脘痛:鸡屎藤10g,厚朴10g,红花10g,白术2g。上药共研粉,每次15g,日服2次,开水冲服或煎服,15天为1疗程,连服6个疗程,每个疗程间停服1周。


❺ 《安徽中草药》:“治急性黄疸型肝炎:鸡屎藤根、茵陈各30g,红枣5枚。煎服。”
❻ 《湖北中草药志》:“治肝脾肿大:鸡屎藤15g,鳖甲12g,丹参9g,红枣3枚。水煎服。


❼ 《福建药物志》:“治小儿疳积:鸡屎藤、夜香牛、白马骨、截叶铁扫帚各30g。水煎服。


❽ 鸡鼠合剂(陕西中医 1988;(7))治慢性支气管炎:鸡屎藤、鼠曲草、鱼腥草各3份,桔梗、牛蒡子各1份。水煎2次,过滤浓缩,加入适量蜂蜜、冰糖及防腐剂。

每天2~3次,每次口服25ml,连服10天为1疗程。
❾ 鸡红汤(《中国中医秘方大全》)治慢性骨髓炎:鸡屎藤30g,红孩儿15g。

水煎服,蔗糖为引。脓多时用鸡麻莽粉(鸡屎藤、苎麻根、水莽根等量,加食盐少许,共研细末)外敷伤口;脓液稀少时,用鸡莽粉(鸡屎藤100g,冰片20g,水莽根20g,共研细末)适量外敷疮口,每日1次;有死骨者用樟蜣散(樟树皮100g,蜣螂50g,共研细末)外敷疮口,每日1次;有窦道或瘘管者则用红升丹药线插窦道及瘘管中,外敷樟蜣散。

❿ 鸡矢藤方(《中国中医秘方大全》)治麻风反应:鸡矢藤叶茎1000g,浸水过面蒸馏,取蒸馏液1000ml,按注射液操作工艺配成静脉注射液。每日静脉注射1次,成人30~50ml,2~5天为1疗程。

⑾鸡矢藤方(《中国中医秘方大全》)治胆道蛔虫病:鸡屎藤制成糖浆,用于轻症和无呕吐患者。

口服每次50ml,每日2~3次。 ⑿《福建药物志》:“治痈疽肿毒:鸡屎藤30~60g,番薯烧酒250ml,水炖服;外用乌莓根适量,初起者加酒糟、红糖适量;成脓者加蜜,捣烂敷患处。” ⒀《福建药物志》:“治头风贯眼:鸡屎藤根60g,生地黄、何首乌各15g。水煎服。” ⒁《福建药物志》:“治闭经:鸡屎藤30g,龙芽草、蛇莓各15g。水煎服。”

单方应用 ❶ 《湖北中草药志》:“治百日咳:鸡屎藤30g,水煎服。”
❷ 《中医百症临床配伍》:“治腮腺炎,外伤瘀滞肿痛,疮疖肿痛,烫火伤及毒虫咬伤:鲜鸡屎藤捣烂外敷患处。”
❸ 《中医百症临床配伍》:“治感冒咳嗽:鸡屎藤根加冰糖,水煎服。”
❹ 《安徽中草药》:“治风湿性关节炎:鸡屎藤根30g。煎水,兑白酒适量,睡前温服。”
❺ 《安徽中草药》:“治小儿疳积:鸡屎藤9g,煎水加红糖少许调服。”
❻ 《湖北中草药志》:“治带状疱疹,跌打损伤:鲜鸡屎藤适量,捣烂敷患处。”
❼ 《福建中草药》:“治食积腹泻:鸡屎藤30g,水煎服。”
❽ 《福建中草药》:“治阑尾炎:鲜鸡屎藤根或茎叶30~60g。水煎服。”
❾ 《福建药物志》:“治气性坏疽:先用槐花水煎洗患部,后用鸡屎藤鲜叶加红糖适量,捣烂敷。”

食疗 ❶ 《饮食疗法》:“治小儿疳积,食积腹胀,食欲不振,消化不良:鸡屎藤根15g,猪小肚150g切成小块,加水适量煲汤,以食盐调味。饮汤食猪小肚。”
❷ 《重庆草药》:“治妇女虚弱咳嗽,白带腹胀:鸡屎藤根120g,红小芭蕉头120g。炖鸡服。”
❸ 《重庆草药》:“治红痢:鸡屎藤根120g,路边姜60g。炖肉服。


❹ 《福建药物志》:“治附骨疽:鸡屎藤、山芝麻根各30g,羊肉125g。水炖服。”

随便看

 

离鸟网收录3541549条中英文词条,其功能与新华字典、现代汉语词典、牛津高阶英汉词典等各类中英文词典类似,基本涵盖了全部常用中英文字词句的读音、释义及用法,是语言学习和写作的有利工具。

 

Copyright © 2004-2024 vtrois.com All Rights Reserved
更新时间:2026/4/9 11:26:58