网站首页  词典首页


请输入您要查询的字词:

 

字词 19.春雷霉素
类别 中英文字词句释义及详细解析
释义 19.春雷霉素

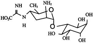
中文通用名称:春雷霉素,英文通用名称:kasugamycin,其他名称:春日霉素、加收米,化学名称:[5-氨基-2-甲基-6-(2,3,4,5,6-五羟基环己基氧代)吡喃-3-基]氨基-α-亚氨乙酸,化学分子式:C14H25N3O9,相对分子量:379.4。

化学结构式:

理化性质:我国春雷霉素是一种小金色放线菌(Actinomycetes microaurous)所产生的代谢物,其盐酸盐为白色针状或片状结晶,熔点206~210℃(分解)。易溶于水,微溶于甲醇,不溶于乙醇、丙酮、苯等有机溶剂,在25℃水中溶解12.5%(W/V)。在酸性和中性溶液中比较稳定,但在强酸或碱性溶液中不稳定。

毒性:原药小鼠急性经口LD50>8000mg/kg,大鼠急性经皮LD50>4000mg/kg,大鼠急性吸入LC50>2.4mg/L。对鱼类及水生生物毒性较低,鲤鱼TLm(48h)>40mg/L。对蜜蜂毒性较低,无作用剂量>40μg/头。对鸟类低毒。

农药类别:低毒抗菌素类杀菌剂。

随便看

 

离鸟网收录3541549条中英文词条,其功能与新华字典、现代汉语词典、牛津高阶英汉词典等各类中英文词典类似,基本涵盖了全部常用中英文字词句的读音、释义及用法,是语言学习和写作的有利工具。

 

Copyright © 2004-2024 vtrois.com All Rights Reserved
更新时间:2026/4/8 14:21:58