网站首页  词典首页


请输入您要查询的字词:

 

字词 鹿茸草
类别 中英文字词句释义及详细解析
释义 鹿茸草

【概况】:

异名 千重塔(《植物名实图考》),千年艾(《庐山志》),瓶儿蜈蚣草(《杭州药物志》),毛茵陈、白丝草、土茵陈(《湖南药物志》),千年春(江西《草药手册》),千年霜、白鸡毛(《浙江民间常用草药》),牙痛草、六月霜(《江西草药》),白龙骨、白山艾(《福建中草药》)。

基源 为玄参科鹿茸草属植物绵毛鹿茸草的全草。鹿茸草属全世界约3种,中国均产。

原植物 Monochasma savatieri Franch.ex Maxim.又名沙氏鹿茸草(《中国植物志》)。

形态 多年生草本,高15~23cm,全株密被绵毛,呈灰白色,上部除绵毛外,还有腺毛。

主根粗短,下部簇生弯曲枝根。茎多数丛生,基部倾斜或弯曲,老时木质化,通常不分枝。

叶交互对生,下部叶密集,间矩约4mm,向上渐疏离,相距达10~16mm;叶片大小相差悬殊,下部小者呈鳞片状,向上逐渐增大,成长圆状披针形至线状披针形,长12~20(~25)mm,宽2~3mm,先端锐尖,基部渐狭,略下延于茎成狭翅,表面中脉凹入而向背面凸出,两面均被灰白色绵毛,老时稍脱落。总状花序顶生;花少数,单生于叶腋,花梗2~7mm;小苞片2枚,叶状,长9~15mm,宽1~2mm,生于萼管基部;花萼筒状,膜质,被腺毛或绵毛,管长5~7mm,上有9条凸起的粗肋,其中4条分别通入萼齿;萼齿4枚,线形,与萼管等长或稍长,长5~6(~10)mm,宽1~2(~3)mm;花冠淡紫色或近白色,长约为萼齿的2倍,花管细长,近喉处扩大,瓣片2唇形,上唇略作盔状,2裂,下唇3裂,中裂片稍大,均为倒卵形;雄蕊4枚,二强,著生于花管上,前方一对较长,达7mm;花药2室,微露于花冠喉部;子房长卵形,花柱细长,先端弯向前方,柱头长圆形。蒴果长圆形,长约9mm,宽3mm,先端渐细而成一稍弯的尖嘴。花期3~5月,果期7~9月。(图见《中国植物志》.第68卷.391页.图版17∶5~80)

生境与分布 生于向阳山坡草丛中或岩石缝,亦见于马尾松林下。分布于江苏、安徽、浙江、江西、福建、湖南。

。【化学】:

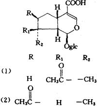
全草浸出物有较明显的酚类及还原糖反应,并分得甘露醇和熔点为200~204C的白色结晶[1]。地上部得洋丁香甙(Acteoside),去氢洋丁香甙(Dehydroacteoside),梓醇(Catalpol),桃叶珊瑚甙(Aucubin),巴奇草甙(Bartisioside),甲基玉叶金花甙(Methylmussaenoside)(1)和7-O-乙酰基-8-表马钱酸(7-O-Acetyl-8-epiloganic acid)(2)[2]

参考文献 [1] 江苏新医学院.中药大辞典.上海人民出版社,1977∶4657 [2] Chem Pharm Bull 1989;37(11)∶3153(CA 1990;112∶115762y)

【药性】:

性味 苦,平。

❶ 《全国中草药汇编》:“微苦、涩,平。”
❷ 《江西草药》:“性平,微苦涩。”
❸ 《福建中草药》:“苦、微甘,温。”

功效 凉血,止血,清热解毒,止痛。

主治 感冒心中烦热,咳嗽,吐血,赤痢,便血,月经不调,风湿骨痛,牙痛,乳痈。 ❶ 《杭州药用植物志》:“治乳癌、乳痈,血管瘤,烂脚疮。”
❷ 《江西草药》:“治急性胃肠炎,菌痢,牙痛,热淋,毒蛇咬伤。”
❸ 《浙江民间常用草药》:“治小儿高热惊风,咳嗽,吐血,水泻。”

用法用量 内服:煎汤,10~15g(鲜品30~60g)。

外用:煎水洗或捣敷。

。【临床应用】:

方选和验方 ❶ 《全国中草药汇编》:“治肺炎:鹿茸草、白英各15g,阴地蕨12g,钩藤根30g,野紫苏9g。水煎服。”
❷ 《全国中草药汇编》:“治小儿鹅口疮:鹿茸草、一枝黄花、半枝莲各9g。水煎服。”
❸ 《全国中草药汇编》:“治牙痛、牙龈炎、牙髓炎:鹿茸草、南天竹各30g。水煎服。”

随便看

 

离鸟网收录3541549条中英文词条,其功能与新华字典、现代汉语词典、牛津高阶英汉词典等各类中英文词典类似,基本涵盖了全部常用中英文字词句的读音、释义及用法,是语言学习和写作的有利工具。

 

Copyright © 2004-2024 vtrois.com All Rights Reserved
更新时间:2026/4/7 0:17:39