网站首页  词典首页


请输入您要查询的字词:

 

字词 麦索卡
类别 中英文字词句释义及详细解析
释义 麦索卡

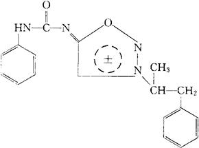
C18H18N4O2=322.37

CAS-34262-84-5

3-(α-甲基苯乙基)-N-(苯基氨甲酰基)斯德酮亚胺。

3-(α-Methylphenethyl)-N-(phenylcarbamoly)sydnone imine.

中枢兴奋药。

Mesocarb,Fensidnimine,Sydnocarb,Synocarb.

INN,USAN.

随便看

 

离鸟网收录3541549条中英文词条,其功能与新华字典、现代汉语词典、牛津高阶英汉词典等各类中英文词典类似,基本涵盖了全部常用中英文字词句的读音、释义及用法,是语言学习和写作的有利工具。

 

Copyright © 2004-2024 vtrois.com All Rights Reserved
更新时间:2026/4/8 10:26:58