网站首页  词典首页


请输入您要查询的字词:

 

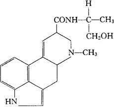
字词 麦角新碱
类别 中英文字词句释义及详细解析
释义 麦角新碱

C19H23N3O2=325.41

CAS-60-79-7

9,10-二去氢-N-[(S)-2-羟基-1-甲乙基]-6-甲基麦角灵-8β-甲酰胺。

9,10-Didehydro-N-[(S)-2-hydroxy-1-methylethyl]-6 methyl-ergoline-8β-carboxamide.

子宫收缩药。用于产后减少流血与促进子宫复原。

Ergonovine,Ergometrine,Ergobasine,Ergofocin,Ergosfefrine.

麦角新碱片,麦角新碱注射液。

INN,BP,DCIT,EP,EP,GDP,JP,NF PH,MI.

随便看

 

离鸟网收录3541549条中英文词条,其功能与新华字典、现代汉语词典、牛津高阶英汉词典等各类中英文词典类似,基本涵盖了全部常用中英文字词句的读音、释义及用法,是语言学习和写作的有利工具。

 

Copyright © 2004-2024 vtrois.com All Rights Reserved
更新时间:2026/4/8 11:36:52