网站首页  词典首页


请输入您要查询的字词:

 

字词 麦迪霉素[中]
类别 中英文字词句释义及详细解析
释义 麦迪霉素[中]

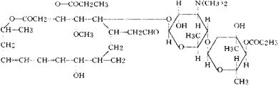
C41H67NO15=813.98

CAS-35457-80-8

7-(甲酰甲基)4,10-二羟-5-甲氧-9,16-二甲基-2-氧代氧环十六烷-11,13-二烯-6-基-3,6-二去氧-4-O(2,6-二去氧-3-C-甲基-α-L-核吡喃己糖基)-3-(二甲胺基)-β-D-葡萄糖吡喃甙-4′,4″-二丙酸酯。

7-(Formylmethyl)-4,10-dihydroxy-5-methoxy-9,16-dimethyl-2-oxo-oxacyclohexadeca-11,13-dien-6-yl-3,6-dideoxy-4-O-(2,6-dideoxy-3-C-methyl-α-Lribo-hexopyranosyl)3(dimethylamino)-β-D-glucopyranoside-4′,4″-dipropionate(ester).

抗生素类药。用于葡萄球菌、链球菌、肺炎球菌及白喉杆菌的感染。

米地加霉素,美地霉素,麦地霉素。

Midecamycin,Medemycin,Mydecamycin.

麦迪霉素肠溶片,麦迪霉素胶囊(麦地霉素胶囊),麦地霉素片。

INN,DCF,JAN,JP,NFN,USAN,MI.

随便看

 

离鸟网收录3541549条中英文词条,其功能与新华字典、现代汉语词典、牛津高阶英汉词典等各类中英文词典类似,基本涵盖了全部常用中英文字词句的读音、释义及用法,是语言学习和写作的有利工具。

 

Copyright © 2004-2024 vtrois.com All Rights Reserved
更新时间:2026/4/9 20:46:39