网站首页  词典首页


请输入您要查询的字词:

 

字词 1.折射棱镜的性质
类别 中英文字词句释义及详细解析
释义 1.折射棱镜的性质

依靠折射作用使光线偏折的棱镜叫折射棱镜。它具有两个性质:偏向性、色散性。利用其偏向性,折射棱镜可使光路按所需要的方向进行折转;利用其色散性,折射棱镜可做为色散元件。

1.1 偏向性

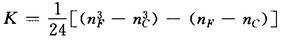
用偏向角δ表示其偏向性。偏向角指折射棱镜使光线偏离原来方向的角度。通常用D光的偏向角δD表示。当入射角i不太大时,δD的经验公式为

式中 α为折射棱角;即二相邻折射面间的夹角。其符号规则为:出射面转向入射面,顺时针为正,反之为负;nD为棱镜材料对D光的折射率

δD为D光偏向角,符号规则为:入射光线转向出射光线,顺时针为正,反之为负。

当折射棱角α很小时,α3可以忽略,则

δD=(nD-1)α

我们把两个折射面夹角较小的折射棱镜称作楔镜或光楔。上式即为楔镜的偏向角计算公式。

1.2 色散性

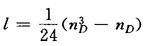
两种不同颜色光线的出射光线分开的角度表示折射棱镜的色散性,通常用C、F光线分开的角度δFC表示。当入射角i不大时,δFC的经验公式为

FC=(nF-nC)α+Kα3

式中 nF-nc为棱镜材料的中部色散。

随便看

 

离鸟网收录3541549条中英文词条,其功能与新华字典、现代汉语词典、牛津高阶英汉词典等各类中英文词典类似,基本涵盖了全部常用中英文字词句的读音、释义及用法,是语言学习和写作的有利工具。

 

Copyright © 2004-2024 vtrois.com All Rights Reserved
更新时间:2026/4/7 7:33:44