网站首页  词典首页


请输入您要查询的字词:

 

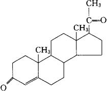
字词 黄体酮[典]
类别 中英文字词句释义及详细解析
释义 黄体酮[典]

C21H30O2=314.47

CAS-57-83-0

朵-4-烯-3,20-二酮。

Pregn-4-ene-3,2O-dione.

黄体酮。

Progesterone.

孕激素类药。

用于先兆性、习惯性流产,月经不调,子宫功能性出血等。

黄体素(台),孕酮。

Progesterone,Syngesterone,Progestin,Lipolutin,

Membrettes,Nalutron,Syngestrets.

黄体酮注射液,黄体酮水悬注射液,黄体素注射液(台)。

INN,BP,DCF,DCIT,EP,FP,GDP,IP,JP,NFN,USAN,USP,USSRP,MI.

随便看

 

离鸟网收录3541549条中英文词条,其功能与新华字典、现代汉语词典、牛津高阶英汉词典等各类中英文词典类似,基本涵盖了全部常用中英文字词句的读音、释义及用法,是语言学习和写作的有利工具。

 

Copyright © 2004-2024 vtrois.com All Rights Reserved
更新时间:2026/4/7 23:47:35