网站首页  词典首页


请输入您要查询的字词:

 

字词 22.乳氟禾草灵
类别 中英文字词句释义及详细解析
释义 22.乳氟禾草灵

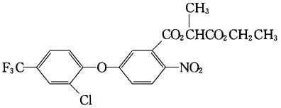
中文通用名称:乳氟禾草灵,英文通用名称:lactofen,其他名称:克阔乐、Cobra,化学名称:2-硝基-5-(2-氯-4-三氟甲基苯氧基)苯甲酸-1-(乙氧羰基)乙基酯,化学分子式:C19H15C1F3NO7,相对分子量461.8。

化学结构式:

代谢物:2-氨基-5-(2-氯-4-三氟甲基苯氧基)苯甲酸-1-(乙氧羰基)乙基酯,化学分子式:C19H17O5NClF3,相对分子量393.64。

理化性质:原药呈深灰色至褐色,熔点44~46℃,蒸汽压(20℃)9.3×10-3mPa,相对密度(25℃)1.391。几乎不溶于水,在水中溶解度<1mg/L,溶于二甲苯。

毒性:大鼠急性口服LD50>5000mg/kg,大鼠急性经皮LD50为2000mg/kg。

农药类别:低毒二苯醚类除草剂。

随便看

 

离鸟网收录3541549条中英文词条,其功能与新华字典、现代汉语词典、牛津高阶英汉词典等各类中英文词典类似,基本涵盖了全部常用中英文字词句的读音、释义及用法,是语言学习和写作的有利工具。

 

Copyright © 2004-2024 vtrois.com All Rights Reserved
更新时间:2026/4/8 14:28:21