网站首页  词典首页


请输入您要查询的字词:

 

字词 26.噁嗪草酮
类别 中英文字词句释义及详细解析
释义 26.噁嗪草酮

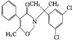
中文通用名称:噁嗪草酮,英文通用名称:oxaziclomefone,其他名称:去稗安,化学名称:3-[1-(3,5-二氯苯基)-1-甲基乙基]-3,4-二氢-6-甲基-5-苯基-2H-1,3-噁嗪-4-酮,化学分子式:C20H19Cl2NO2,相对分子量:376.28。

化学结构式:

理化性质:白色结晶,熔点148±1℃,蒸汽压(25℃)1.33×10-2mPa。20℃时溶解度:水0.18mg/L,丙酮96.0g/L,甲醇15.2g/L,乙酸乙酯67.0g/L。

毒性:大、小鼠急性口服LD50>5000mg/kg,大、小鼠急性经皮LD50>2000mg/kg。

农药类别:低毒有机杂环类除草剂。

随便看

 

离鸟网收录3541549条中英文词条,其功能与新华字典、现代汉语词典、牛津高阶英汉词典等各类中英文词典类似,基本涵盖了全部常用中英文字词句的读音、释义及用法,是语言学习和写作的有利工具。

 

Copyright © 2004-2024 vtrois.com All Rights Reserved
更新时间:2026/4/6 20:21:14