28.二甲戊乐灵
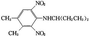
中文通用名称:二甲戊乐灵,英文通用名称:pendimethalin,其他名称:胺硝草、除草通、除芽通、杀草通、施田补,化学名称:N-(1-乙基丙基)-2,6-二硝基-3,4-二甲基苯胺,化学分子式:C13H19N3O4,相对分子量:281。 化学结构式:  理化性质:纯品为橙黄色晶体,熔点54~58℃,蒸汽压(25℃)4×10-3Pa,20℃时在水中溶解度为0.33mg/L,易溶于氯化烃及芳香烃溶剂中,对酸、碱稳定。 毒性:原药大鼠急性经口LD50为1250mg/kg。对鱼类及水生生物高毒。对蜜蜂和鸟的毒性较低。 农药类别:低毒苯胺类除草剂。 |