网站首页  词典首页


请输入您要查询的字词:

 

字词 2×2混合策略求解
类别 中英文字词句释义及详细解析
释义 2×2混合策略求解

2×2混合策略即局中人A,B各有二个可选择策略的非确定型矩阵对策问题,是混合策略中最简单的一种。

常用的求解方法有三种:

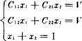
(1)线性方程组解法:

设有2×2混合策略问题

对局中人A,可求解方程组:

对局中人B,可求解方程组:

从而得到最优策略。

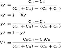
(2)公式法:

利用2×2混合策略的通解公式求解:

(3)图解法:

由求解2×2混合策略局中人A策略的线性方程组

可以x1,x2为横坐标(取不同方向),V为纵坐标,作出求解局中人A策略的图形

图形中加粗折线的顶点0即为局中人A的解,从0点对应的横坐标与纵坐标值求出X1*,X2*及V*

由求解2×2混合策略局中人B策略的线性方程组

以y1,y2为横坐标(取不同方向),V为纵坐标,可作出求解局中人B策略的图形

图形中加粗折线的底点0为局中人B的解,从0点对应的横坐标与纵坐标值求出y1*,y2*及V*的混合策略问题,均可用图解法求解。

随便看

 

离鸟网收录3541549条中英文词条,其功能与新华字典、现代汉语词典、牛津高阶英汉词典等各类中英文词典类似,基本涵盖了全部常用中英文字词句的读音、释义及用法,是语言学习和写作的有利工具。

 

Copyright © 2004-2024 vtrois.com All Rights Reserved
更新时间:2026/4/6 22:55:03