网站首页  词典首页


请输入您要查询的字词:

 

字词 黄珠子草
类别 中英文字词句释义及详细解析
释义 黄珠子草

【名称出处】:《广西中药志》

【概况】:

异名 珍珠草、鱼骨草、日开夜闭(《南宁市药物志》),地珍珠、假芋(《广西药用植物名录》)。

基源 为大戟科叶下珠属植物单叶下珠的全草或根。

原植物 单叶下珠Phyllanthus simplex Retz.

形态 一年生草本,高约40cm,无毛。茎基部木质化,表面带紫色。叶互生,2列,线状长圆形,长1.3~2.5cm,宽3~5mm,先端急尖,基部近圆钝,全缘;叶柄短,长不及1mm,托叶2枚,卵状披针形,褐红色。

花小,单性同株,单生或簇生于叶腋;雄花具短柄,萼片6,两轮,矩圆形,内轮较外轮大,黄绿色;花瓣无;雄蕊3,花药2室,蜜腺6枚;雌花具柄,柄长约1mm,花后伸长,萼6裂,裂片矩圆形,长约1mm,反折;2房3室,有3条纵槽和小疣状突起,花柱3枚,柱头2裂。蒴果球形,紫红色,平滑,3裂。

种子棕褐色。花期9~10月,果期10~11月。(图见《中药大辞典》.下册.2073页.4245条图)

生境与分布 生于田野、山谷湿润处。分布于广东、广西。

。【生药】:

采集 夏、秋季采收,除去泥土,晒干或鲜用。

【化学】:

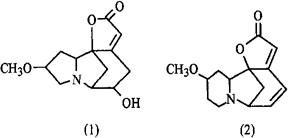
全植物含黄珠子草碱(拟)(Simplexine;14-Hydroxy-4-methoxy-13,14-dihydronorsecurinine)(1)、叶下珠碱(拟)(Phyllanthine)(2)。

参考文献 Phytochemistry 1988;27(9):3027

【药性】:

性味 ❶ 《全国中草药汇编》:“甘,平。”
❷ 《南宁市药物志》:“甘,苦。”
❸ 《新华本草纲要》:“甘,平。有小毒。”

功效 清热散结,健胃消积。

主治 ❶ 《新华本草纲要》:“用于痢疾,小儿疳积,外治乳腺炎。”
❷ 《南宁市药物志》:“治疳积及疳积入眼。”
❸ 《广西药用植物名录》:“治淋病,骨鲠喉,小儿疳积。根治乳房脓肿。

用法用量 内服:煎汤,9~15g。

外用:捣敷或煎水熏洗。

。【临床应用】:

单方应用 《全国中草药汇编》:“治乳腺炎;黄珠子鲜全草,捣烂外敷,并用全草水煎外洗。”

食疗 《全国中草药汇编》:“治小儿疳积:黄珠子鲜全草10~15g,水煎服,或蒸猪瘦肉服。”

随便看

 

离鸟网收录3541549条中英文词条,其功能与新华字典、现代汉语词典、牛津高阶英汉词典等各类中英文词典类似,基本涵盖了全部常用中英文字词句的读音、释义及用法,是语言学习和写作的有利工具。

 

Copyright © 2004-2024 vtrois.com All Rights Reserved
更新时间:2026/4/8 23:33:20