网站首页  词典首页


请输入您要查询的字词:

 

字词 2.啶虫脒
类别 中英文字词句释义及详细解析
释义 2.啶虫脒

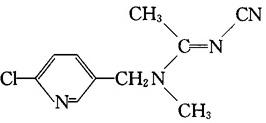
中文通用名称:啶虫脒,英文通用名称:acetamiprid,其他名称:吡虫清、莫比朗、乙虫脒,化学名称:(E)-N1-[(6-氯-3-吡啶基)甲基]-N2-氰基-N1-甲基乙酰胺;化学分子式:C10H11ClN4;相对分子量:222.68。

化学结构式:

浅黄色结晶粉末,熔点98~101℃,相对密度1.330,蒸汽压<1.33×10-6Pa(25℃)。25℃时,水中的溶解度4.2g/L,易溶于丙酮、甲醇、乙醇、二氯甲烷、氯仿、乙腈等有机溶剂。在中性或偏酸性介质中稳定,常温下稳定。

毒性:雄大鼠急性口服LD50>217mg/kg,雌大鼠146mg/kg,雄、雌大鼠急性经皮LD50>2000mg/kg,对兔眼睛、皮肤无刺激作用。

农药类别:低毒杂环类杀虫剂。

随便看

 

离鸟网收录3541549条中英文词条,其功能与新华字典、现代汉语词典、牛津高阶英汉词典等各类中英文词典类似,基本涵盖了全部常用中英文字词句的读音、释义及用法,是语言学习和写作的有利工具。

 

Copyright © 2004-2024 vtrois.com All Rights Reserved
更新时间:2026/4/7 3:32:10