网站首页  词典首页


请输入您要查询的字词:

 

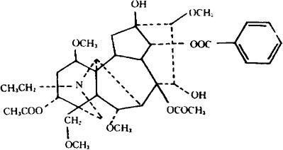
字词 3-乙酰乌头碱[中]
类别 中英文字词句释义及详细解析
释义 3-乙酰乌头碱[中]

C36H49NO12=687.78

20-乙基-1,6,16-三甲氧基-4-(甲氧代甲基)乌头烷-3,8,13,14,15-五醇-3,8-二醋酸酯-14-苯甲酸酯。

20-Ethyl-1,6,16-trimethoxy-4-(methoxymethyl)aconitane-3,8,13,14,15-pentol-3,8-diacete-14-benzoate.

镇痛药。用于肩周炎、颈椎病、落枕、肩臂痛、风湿性关节炎、类风湿性关节炎、腰扭伤、关节扭伤、挫伤、腰背痛、良性关节痛、坐骨神经痛、带状疱疹和中小手术后止痛。

新乌宁痛。

3-Acetylaconitine.

3-乙酰乌头碱片(新乌宁痛片),3-乙酰乌头碱注射液(新乌宁痛注射液)。

随便看

 

离鸟网收录3541549条中英文词条,其功能与新华字典、现代汉语词典、牛津高阶英汉词典等各类中英文词典类似,基本涵盖了全部常用中英文字词句的读音、释义及用法,是语言学习和写作的有利工具。

 

Copyright © 2004-2024 vtrois.com All Rights Reserved
更新时间:2026/4/6 15:21:52