3.摄影用中性玻璃滤光镜(GB 9923-88)
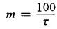
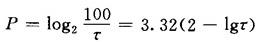
本标准适用于在400~700nm波长范围内只改变光的强度而不改变光谱成分的中性玻璃滤光镜(以下简称滤光镜)。 本标准中未作规定的有关事项按GB9921《摄影用玻璃滤光镜通用规则》。 3.1 术语和符号 3.1.1 平均透射比 在波长为400~700nm之间的滤光镜分光透射比的平均值。其平均值取自rb、τg和rr所表示的算术平均值。 τb——在波长405nm、4.35nm和465nm处的滤光镜透射比的平均值; τg——在波长510nm、545nm和565nm处的滤光镜透射比的平均值; rr——在波长610nm、635nm和665nm处的滤光镜透射比的平均值。 3.1.2 曝光倍数 对一定亮度的被摄体摄影时,为了获得正确曝光量,镜头加上滤光镜与不加滤光镜时所需曝光时间之间的比值。滤光镜的曝光倍数m由下式求得:  式中:τ——滤光镜的平均透射比(%)。 3.1.3 曝光补偿系数 镜头装上滤光镜摄影时,为了获得正确曝光量,必须加大镜头光圈档数进行补偿的值。滤光镜的曝光补偿系数P由下式求得:  3.2 符号 (1)中性密度的光谱特性用ND来表示。 (2)曝光倍数用mX来表示。m与τ对应的范围应按表6-34的规定。 (3)曝光补偿系数用P来标记。P与τ对应的范围应按表6-34规定。 表6-34  注:本表中对m小于1.4和大于8(P小于0.5、大于3)的滤光镜未作规定。如有必要,可用公式求出相应的值。 3.3 光谱特性 在400~700nm波长范围内,滤光镜的光谱透射比须满足以下条件。 (1)平均透射比τ(%)应和曝光倍数m或曝光补偿系数P相对应,并满足表中的规定。 (2)对于光谱透射比τb、rg和τr,其中最大值与最小值之比不超过1.25。 3.4 种类 滤光镜的种类应优先取ND2X、ND4X、ND8X。 |