网站首页  词典首页


请输入您要查询的字词:

 

字词 4.显微镜放大率
类别 中英文字词句释义及详细解析
释义 4.显微镜放大率

本标准规定了显微镜及其部件(物镜、目镜、镜简透镜、摄影目镜和投影目镜)的放大率数值。

4.1 放大率数值系列。

放大率数值按GB321-80《优先数和优先数系》中优先数R10系列。

4.2 显微镜放大率、符号和表示举例。

4.2.1 物镜放大率

4.2.1.1 共轭距离为有限远的物镜。

由物镜产生的第一次实像,其放大率等于物镜的横向放大率。

放大率符号:MOBJ

表示举例:25或MOBJ=25:1

4.2.1.2 共轭距离为无限远的物镜❶ 

此物镜只有与校正无限远像差的镜筒透镜组合才能产生一个实像。

放大率符号:MOBJ∞

物镜放大率为:

式中 fTLR为相关镜筒透镜焦距(mm)❷ ;fOBJ∞为共轭距离为无限远的物镜焦距(mm)。

注:
❶ 对校正共轭距离为无限远的物镜,镜筒系数规定为

式中 fTL为镜筒透镜焦距(mm)。

表示举例:∞/0.8×或q=0.8×

❷ 相关镜筒透镜焦距fTLR一般为160mm、200mm、250mm,优先选用200mm。

表示举例:25×或MOBI∞=25×

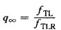
4.2.2 镜筒透镜系数和镜筒系数

镜筒透镜系数是表示镜筒透镜对像的放大率的影响。总的镜筒系数是各单个镜筒系数的乘积。

镜筒系数符号:q q=q1×q2×……

表示举例:1.25或q=1.25

4.2.3 目镜放大率

符号:MOC

目镜放大率为:

式中 250为明视距离(mm);fOC为目镜焦距(mm)。

表示举例:10×或MOC=10×

4.2.4 摄影系数和投影系数

该系数表示显微摄影(摄影目镜、照相镜头、暗箱的伸缩)和显微投影(投影距离)对显微镜放大率的影响。

符号:P

表示举例:0.32或P=0.32

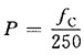
(a)用照相镜头通过观察用目镜摄影时,则P系数❸ 规定为

式中 fC为照相镜头的焦距(mm);250为明视距离(mm)。

注:
❸ 用摄影目镜进行显微摄影时,P系数不用,总放大率计算见4.2.6。

(b)用一个观察用目镜直接成像于感光乳剂表面或屏幕上,则P系数规定为

式中 α为目镜的后焦面到感光乳剂表面或屏幕的距离(mm);250为明视距离(mm)。

4.2.5 供观察用显微镜总放大率

符号:MTv

MTV=MOBJ×MOC×q

表示举例:500×或MTv=500×4.2.6 用于产生一个实像的显微镜总放大率

此值等于显微镜产生物体实像的横向放大率。

符号:MTc

MTC=MOBJ×MOC×q×P

如用摄影目镜进行显微摄影时,则具有下列形式:

式中 MOcP——摄影目镜放大率。

4.3 偏差见表5-6。

表5-6 偏差数值规定

随便看

 

离鸟网收录3541549条中英文词条,其功能与新华字典、现代汉语词典、牛津高阶英汉词典等各类中英文词典类似,基本涵盖了全部常用中英文字词句的读音、释义及用法,是语言学习和写作的有利工具。

 

Copyright © 2004-2024 vtrois.com All Rights Reserved
更新时间:2026/4/7 16:18:05