网站首页  词典首页


请输入您要查询的字词:

 

字词 黎曼流形的谱
类别 中英文字词句释义及详细解析
释义 黎曼流形的谱

又称谱几何,是大范围分析领域中整体微分几何的一个重要分支。

集泛函、拓扑、复变,偏微分方程、代数等内容于一体,从而有力地推动了几何学科的发展。谱几何中所采用的几何方法广泛地应用在其他数学与物理学科之中,已成为现代基础数学理论研究的一个热点。

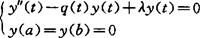
设q是[a,b]上连续函数,则[a,b]上一维的具有Dirichlet边界的Schrodinger方程

的Sturm-Liouville特征值问题,是指找的那些λ值称为特征值,使得Schrödinger方程具有非零的C2类函数y的解。

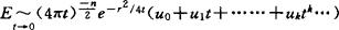
R.Courant于1953年引进的Cauchy问题:

的解uλ。

设[a,b]上函数uλ(x)零点的个数记作N(λ),即N(λ)=#{uλ(x)在[a,b]中x的零点},利用Sturm比较定理,可以证明N(λ)是一个递增的、右连续函数,当λ→∞时,N(λ)→+∞,并且那些不连续点正好是Schrödinger方程的解。

J.Dieudonné于1975年将Schrodinger方程化为积分方程,利用紧致算子谱理论证明存在特征值的无穷序列0<λ1<λ2……∞.

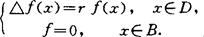
如果D是R↑(n中具有逐段光滑边界B的有界区域,考虑特征值问题:

这里

H.Weyl于1946年和M.Kac于1966年,把D想像作鼓面,把特值值0<r1<r2<r3<……取作基调,倾听鼓声,以得到鼓面的形状,由可判定鼓的面积和周长等等,根据这些物理背景和几何模型引入4种类型黎曼流形谱的概念。

(1)闭的谱问题。设M是紧致的、连通的黎曼流形,△是M上C2或C函数的Laplace算子,则黎曼流形(M,g)的谱是λ的全体:λ∈R,使得△f=λf存在非平凡解(或f∈C2(M)),黎曼流形(M,g)的谱记作Spec(M,g),称λ为特征值(或谱值)。

(2)Neumann谱问题。设黎曼流形(M,g)的,M紧致且连通,Spec(M,g)是λ的全体:λ∈R,使得△f=λf存在非平凡解。并满足边界条件,其中v是上向外的单位法向量场。

(3)Dirichlet谱问题。

设黎曼流形(M,g)的,M紧致且连通,Spec(M,g)是λ的全体:λ∈R,使得存在△f=λf的非平凡解。并满足边界条件

(4)混合型谱问题。设黎曼流形(M,g)的紧致且连通,N是的开子流形,Spec(M,g)是λ的全体:,使得△f=λf存在非平凡解,并满足边界条件:在上,f=0;在N上,vf=0。

对于上述四类谱问题,Spec(M,g)构成一个序列{0=λ0<λ1<λ2<……∞),是离散的,且趋向于+∞}。对于每一个特征值λ,△f=λf的解空间记作P↓(λ(M,g),称为与λ相关的特征子空间,Pλ(M,g)的元素称为特征函数,每一个Pλ(M,g)是有限维的,其维数称为特征值的重数。

M.Berger1971年出版专著《Le Spectre d′une variété Riemannienne》——黎曼流形的谱,把谱的研究推向纵深发展。M.Berger和P.Bérard于1982年列出谱几何研究的详细文献资料,既总结了前阶段这一领域的科研成果,又指明了今后的研究课题。

S.Gallot,于1986年在法国数学会杂志《Astérisque》上,系统地总结了谱几何的研究成果。

特别是P.Bérard于1986年由Springer LN1207出版《Spectral Geometry:Direct and Inverse Problems》——谱几何的正问题和反问题,将谱几何的研究推向高潮。

目前,谱几何的研究热点是:

(1)谱几何的正问题。计算流形的谱,例如球面,实射影空间,复射影空间,平坦环面等流形谱的计算早已解决,但至今尚有许多流形谱的计算却十分困难,例如,球面三角形区域等等。

(2)特征值的估计。在许多著作与文献中,都对第一个非零特征值λ1进行估算,确定其上限与下控。结合黎曼流形的几何特征,进一步估计λ1或λ2,并研究Pinching问题。

(3)利用谱的结果,得到流形的一些几何性质。若Spec(M,g)=Spec(N,h),能否断定(M,g)或(N,h)是等距的、同胚的或者微分同胚的,这是一个十分有趣的研究课题。

(4)因为作用在f∈C(M)上的Laplace算子是一个实的、正定的、自伴随的、二阶椭圆型微分算子,它与偏微分方程学科的研究密切相关。

为此,可以研究一类更为广泛的二阶线性椭圆型方程:△U-vU=λU,式中△表示流形M的Laplace算子,v∈C(M),称为位势,称常数λ为Schrōdinger算子Δ-v的特征值,对应的解称为特征函数,关于Δ-v的特征值的讨论已引起大家的关注。

(5)设(M,g)是闭的黎曼流形,Ap(M)表示M上p次外微分形式(p≤dimM)所生成的空间,作用在Ap上的微分算子△=δd+δd,式中d是外微分算子,d:Ap-1→Ap;δ是余微分算子.δ:Ap→Ap-1。当f∈A°(M),δf=0。

当α∈Ap(M),1≤p≤n,δα=(-1)n(p+1)+1*d*α,这里*是Hodge星算子,即若α∈Ap(M),则*α∈An-p(M)。

由此可见,△=dδ+δα是Ap(M)→Ap(M)的线性映射,称为黎曼流形(M,g)上的Laplace-Beltrami算子,或简称Laplace算子。满足△α=0的微分形式α称为调和形式。

特别地,满足△f=0的函数f∈A°(M)称为调和函数。调和形式的应用以及满足△α=γα,α∈Ap(M)的p次微分形式谱pSpec(M,g),(当p=0时,°Spec(M,g)即为Spec(M,g)),它的研究尚待进一步深入。

(6)谱几何主要用于讨论热方程和波动方程基本解(简写作SFEC),所谓基本解是指上的一个函数E.它满足下述3条公理:

SFEC1 E在上是连续函数,对第2个变量是C2的,对第3个变量是C1的。

SFEC2 L2E=0。

此处,而△2是指对第2个变量的拉普拉斯算子。

SFEC3 对任何m∈M,有

这里的δm是在m点的Dirac测度。

于是,当t→0+时,SFEC的渐近展式为

其中的一个法正交基,则

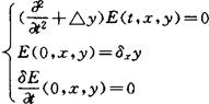
黎曼流形(M,g)上波动方程的基本解(或波动核)是函数E(t,x,y),其中(t,x,y)∈R×M×M,它满足

在谱几何意义下,它是算子的核。

例如,(S2,g0)的波动核是

其中C2为某一常数,而函数

波动方程的方法是由L.Hormander于1960年以后研究函数N(λ)而引入的,它可用黎曼流形的谱和流形上闭测地线长度之间的一些关系式而加以说明,1973年Y.Colin DE Verdiere以及1975年J.J.Dvistermaat解决了这个问题。

这类偏微分方程的研究同物理上布朗运动与概率论的研究有联系,通过参考文献2可以进一步予以探讨。

。【参考文献】:

1 Minakshisundaram S, Pleijel A. some properties of the Laplace operator on Riemannian manifolds,Canad. J Math, 1949

2 Lichnerowicz A. geometric des groupes de transformation, Dunnod, Paris, 1958

3 Kac M. Can one hear the shape of a drum.Amer. Math. Monthly, 1966,73

4 Mckean H P,Singer I M. Curvature and the eigenvalues of the Laplacian,J Diff Geom, 1967,1

5 Cheeger J. The relation between the Laplacian and the Diameter , Archiv Der Math ,1968,19

6 Saki T. on Riemannian manifolds,Canad J,Matn. 1949,1

7 Berger M.Gauduchon P,Mazet E. Le spectre d'une variete riemannienne,Lecture Notes in Math,n° 194,Springer 1971

8 Berard P, Berger M. Le spectre d'une variete riemannienne en 1982,Kaigei Publications,1983

9 Berard P. Spectral geometry: direct and inverse problems, 1MPA. 1986

10 马传渔.黎曼流形的谱.南京:南京大学出版社,1993

(南京大学马传渔教授撰;莫绍揆审)

上一篇:不可约空间理论
下一篇:现代科技综述大辞典上目录
"黎曼流形特征值的估计黎曼流形特征值的估计

谱几何正问题的一个重要研究课题是计算流形的谱。

通常直接算出流形的谱是十分困难的,为此要对特征值(即谱值)进行估计,找出其下控与上界。此问题引伸到等周不等式的探讨,以及Pinching问题的研究,此外,在物理学中,确定鼓膜的形状也需用特征值的计算。

设(M,g)是紧致、连通的黎曼流形,则黎曼流形(M,g)的谱:

Spec(M,g)={λ∈R|△f=λf,λ≠0,f∈C(M)},

这里△是作用在C(M)上的Laplace算子。

Spec(M,g)={0=λ0<λ1<λ2<…∞}

黎曼流形(M,g)的剖分函数Z(t)定义为Z(t)=Σmie↑(-λit,这里mi为特征值的λi的重数。

由Z(t)可决定(M,g)的谱值和其重数。Minakshisundaram-Pleijel于1949年得到剖分函数的渐近展开式:,这里ak是黎曼不变量。

实际上是流形M的曲率张量与其各阶共变导数的函数。根据Mckean-Singer引入的正交不变量方法,可得到a0=vol(M,g),,这里τ是数量曲率,ρ是Ricci曲率,R是黎曼曲率。

a3已由T.Sakai于1971年算出,而当k≥4时,ak几何意义至今尚不知。

第1个非零特征值λ1的计算,不仅在谱几何研究中具有一定的理论价值,而且在鼓膜振动和波方程中也具有应用价值,A.Lichnerowicz于1958年指出:设(M,g),是一个n维紧致的黎曼流形,若存在正数k>0,使得ρ≥kg,其中ρ为Ricci张量,则△的第1个非零特征值λ1,满足。它的逆定理就是M.Obata于1962年建立的Obata定理:设(M,g)是一个n维紧致的黎曼流形,若存在正数k>0,使得ρ≥kg,并且,则(M,g)与(Sn,g0)等距。J.Cheeger于1970年得到λ1的极小值原理:

这里H1(M)是与1正交的一切C1函数所构成的空间。

如果采用范数,则H1(M)关于范数‖f‖1是完全的。J.Cheeger于1968年得到λ1的上界:如果对于任一自然数n,存在一数h(n)≥0,使得n维紧致黎曼流形(M,g)的截面曲率大于或等于0,则λ1≤h(n)×[diam(M,g)]2

在此,依赖于n的h(n)如何选择为最佳?曲率非负的条件能否去掉,这一切有待于进一步改正。Cheeger定理的证明与流形(M,g)上一点m的割迹C(m)密切相关,而割迹的研究又同闭测地线的性质相联系,为此,闭测地线理论与割迹性质的研究推动了谱几何学科向纵深发展。

假设流形(M,g)可分为两个开子流形M1和M2,并以闭子流形S为其共同边界,记

这是M.Berger于1970年建立的,本结果的证明需用Morse临界点理论。至于是否为λ1的最好下界?这个问题至今尚未解决。

此外,对第2个非零特征值λ2是否有估算的必要?如果要进行计算,其下控与上界又是如何?这一切问题既难而有趣。

设D是(Rn,g0)中光滑的有界区域,区域D中Dirichlet特征值为{λk}。置N(λ)=Card{j|λj≤λ},则当λ→+∞时,N(λ)~C(n)vol(D)λn/2,这里C(n)=(2π)-n volBn,Bn是Rn中的单位球,这就是H.Weyl于1911年建立的渐近公式,换一种写法为N(λ)=Card{j|λj≤λ}=C(n)vol(M,g)λn/2+0(λn/2)。假设(M,g)是无边界、连通的黎曼流形,1956年Avakumovic和1968年L.Hormander指出,认为这个估计是最佳的。1975年J.Duistermat和V.Guellemen认为R(λ)=N(λ)-C(n)vol(M,g)λn/2与(M,g)测地线流关系密切。粗略地说,R(λ)为阶当且仅当(M,g)的测地线流是周期的,即所有测地线是具有相同周期的闭测地线。

例如,球面Sn上所有测地线是以2π为周期的周期测地线。同样可粗略地说:如果测地线流不是周期的,则。1976年P.Berard和B.Randol,对于负曲率流形证明

一般对R(λ)的研究是较为困难的,它要用数论知识。

对带有边界的流形,困难就更大了。然而为了计算、估计流形的谱,这一领域的工作仍是一个研究热点。

。【参考文献】:

1 Obata M.J Math Soc Japan, 1962,14

2 Cheeger J. Archiv Der Math, 1968,19

3 Urakawa H. Proc Japan Acad,1977,53

4 Li P,Zhong J Q. Invent Math,1981,65

5 Berard P. IMPA

(南京大学马传渔教授撰;莫绍揆审)

随便看

 

离鸟网收录3541549条中英文词条,其功能与新华字典、现代汉语词典、牛津高阶英汉词典等各类中英文词典类似,基本涵盖了全部常用中英文字词句的读音、释义及用法,是语言学习和写作的有利工具。

 

Copyright © 2004-2024 vtrois.com All Rights Reserved
更新时间:2026/4/7 19:22:59